🇳🇴 🇬🇧 🇩🇪 🇨🇿 🇫🇮

Meteor Prestfossin yllä 2021-09-05 21:05:24 UTC

KML-tiedosto  |  Interaktiivinen kartta

Kartta näyttää meteorin suuntahavainnot. Vaaleammat viivat näyttävät suunnat havaintoasemilta meteorin ilmestyessä, ja tummemmat viivat näyttävät, missä se viimeksi nähtiin. Sininen nuoli näyttää meteorin näkyvän lennon.

static map
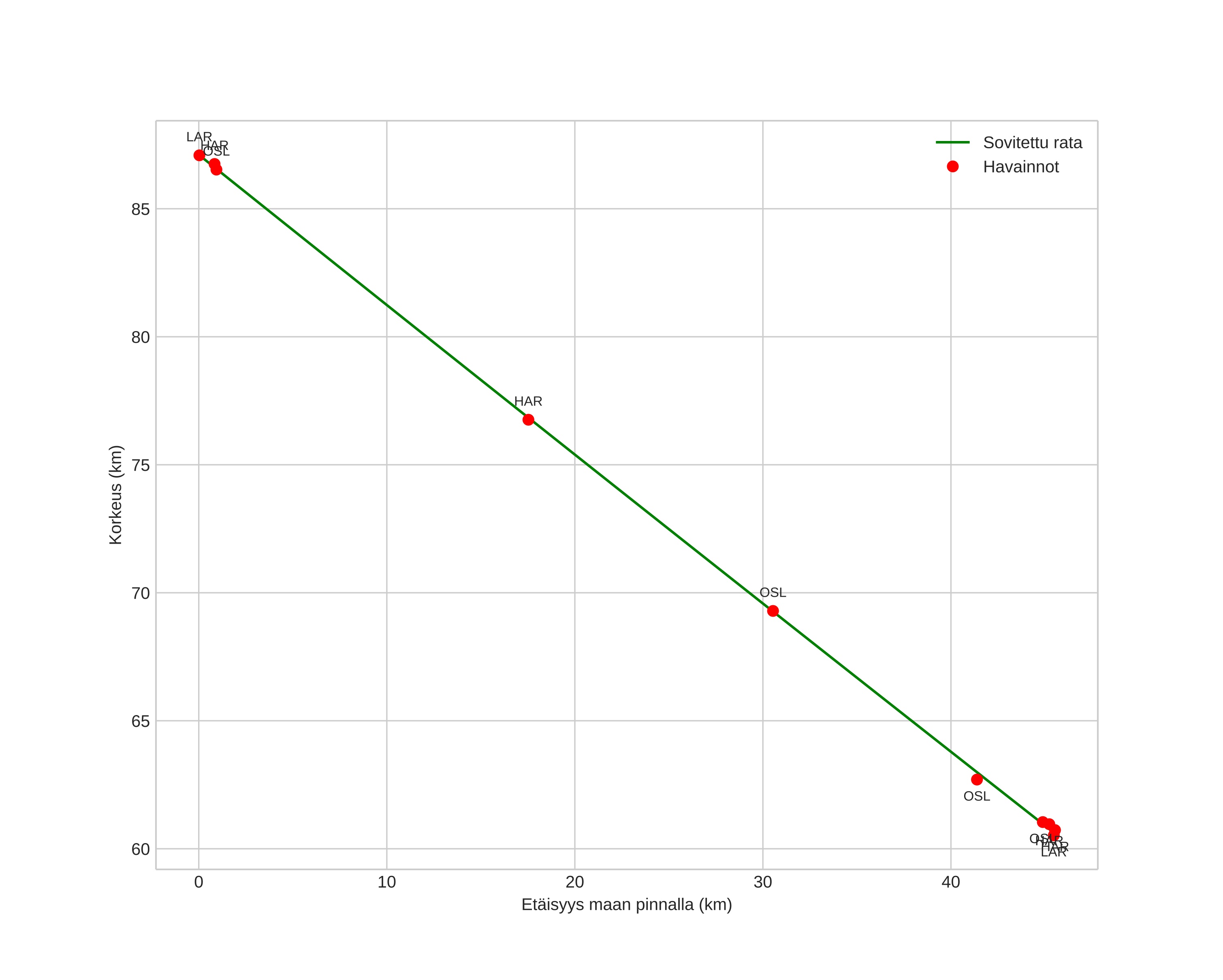
height profile
Meteorin ilmakehärata:
Alkukorkeus: 88,8 km
Loppukorkeus: 60,4 km
Alkupiste: 59,794N 10,421E
Loppupiste: 60,026N 9,686E
Suunta: 302,5°
Kallistuskulma: 30,4°
Tulonopeus: 37,2 km/s
Radiantin R,A,: 23:59 (360,0°)
Radiantin Dekl,: 10,3°
Meteoriparvi: Sporadinen
Meteoroidin rataelementit:
Perihelietäisyys: 0,195 AU
Eksentrisyys: 0,924
Inklinaatio: 18,6°
Nousevan solmun pituus: 163,2°
Perihelin argumentti: 312,8°
Keskianomalia: 351,0°
Epookki: 2021 SEP 05 21:05:24
orbit plot

Ei-interaktiivinen kuvaaja | Interaktiivinen kuvaaja

position vs time
speed and acceleration