🇳🇴 🇬🇧 🇩🇪 🇨🇿 🇫🇮

Meteor, poloha: Kinna 2021-09-08 00:22:45 UTC

Soubor KML  |  InteraktivnĂ­ mapa

Mapa zobrazuje dráhy meteoru. Světlejší čáry ukazují směry od pozorovacích stanic při objevení se meteoru a tmavší čáry, kde byl naposledy viděn. Modrá šipka značí viditelnou dráhu meteoru.

static map
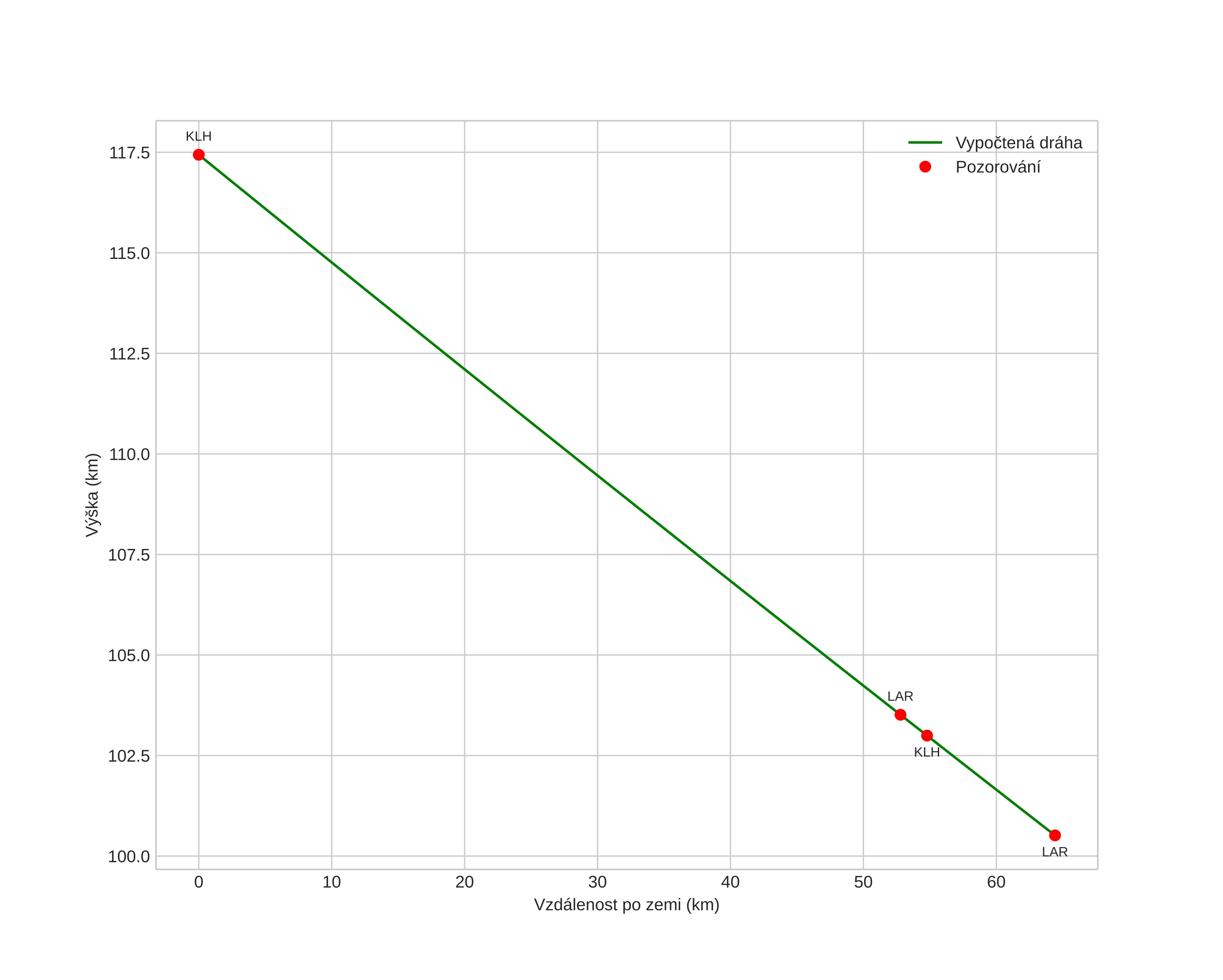
height profile
Atmosférická dráha meteoru:
Počáteční výška: 116,0 km
Konečná výška: 100,7 km
Počáteční poloha: 57,530N 13,710E
Konečná poloha: 57,576N 12,669E
Směr: 275,1°
Sklon: 13,8°
VstupnĂ­ rychlost: 22,3 km/s
Rektascenze radiantu: 05:51 (87,9°)
Deklinace radiantu: 3,5°
MeteorickĂ˝ roj: sporadickĂ˝
Elementy dráhy meteoroidu:
Vzdálenost v periheliu: 0,120 AU
Excentricita: 0,790
Sklon dráhy: 28,4°
Délka vzestupného uzlu: 345,3°
Argument perihelia: 183,9°
Střední anomálie: 159,8°
Epocha: 2021 SEP 08 00:22:45
orbit plot

NeinteraktivnĂ­ graf | InteraktivnĂ­ graf

position vs time
speed and acceleration