🇳🇴 🇬🇧 🇩🇪 🇨🇿 🇫🇮

Meteor Kinnan yllä 2021-09-08 00:22:45 UTC

KML-tiedosto  |  Interaktiivinen kartta

Kartta näyttää meteorin suuntahavainnot. Vaaleammat viivat näyttävät suunnat havaintoasemilta meteorin ilmestyessä, ja tummemmat viivat näyttävät, missä se viimeksi nähtiin. Sininen nuoli näyttää meteorin näkyvän lennon.

static map
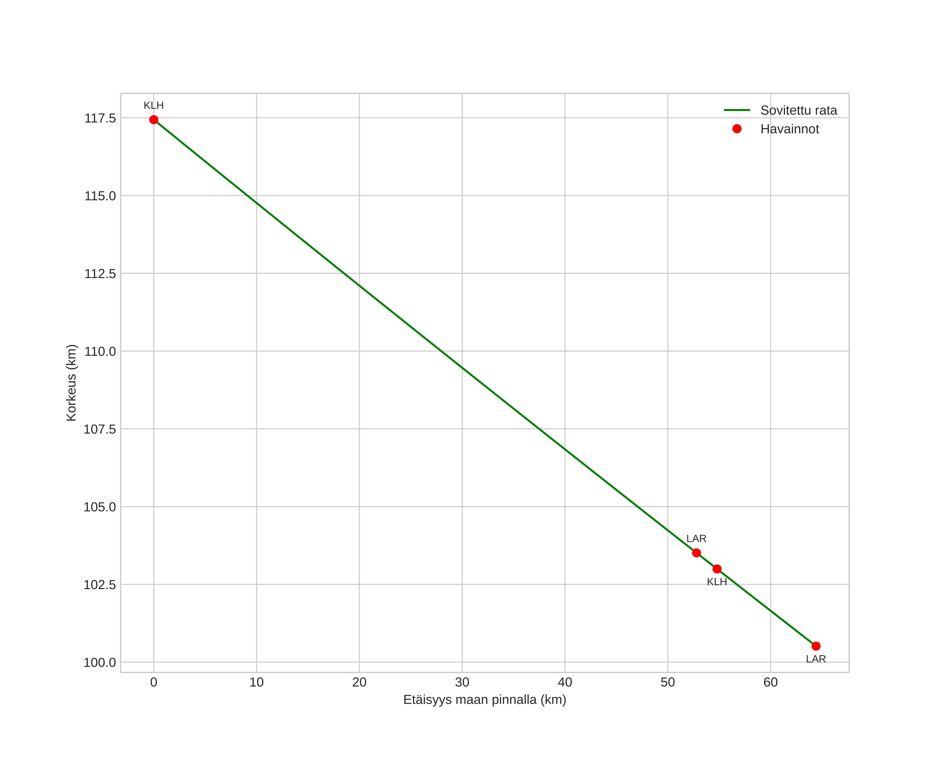
height profile
Meteorin ilmakehärata:
Alkukorkeus: 116,0 km
Loppukorkeus: 100,7 km
Alkupiste: 57,530N 13,710E
Loppupiste: 57,576N 12,669E
Suunta: 275,1°
Kallistuskulma: 13,8°
Tulonopeus: 22,3 km/s
Radiantin R,A,: 05:51 (87,9°)
Radiantin Dekl,: 3,5°
Meteoriparvi: Sporadinen
Meteoroidin rataelementit:
Perihelietäisyys: 0,120 AU
Eksentrisyys: 0,790
Inklinaatio: 28,4°
Nousevan solmun pituus: 345,3°
Perihelin argumentti: 183,9°
Keskianomalia: 159,8°
Epookki: 2021 SEP 08 00:22:45
orbit plot

Ei-interaktiivinen kuvaaja | Interaktiivinen kuvaaja

position vs time
speed and acceleration