🇳🇴 🇬🇧 🇩🇪 🇨🇿 🇫🇮

Meteor, poloha: Vansbro 2021-09-09 20:10:10 UTC

Soubor KML  |  InteraktivnĂ­ mapa

Mapa zobrazuje dráhy meteoru. Světlejší čáry ukazují směry od pozorovacích stanic při objevení se meteoru a tmavší čáry, kde byl naposledy viděn. Modrá šipka značí viditelnou dráhu meteoru.

static map
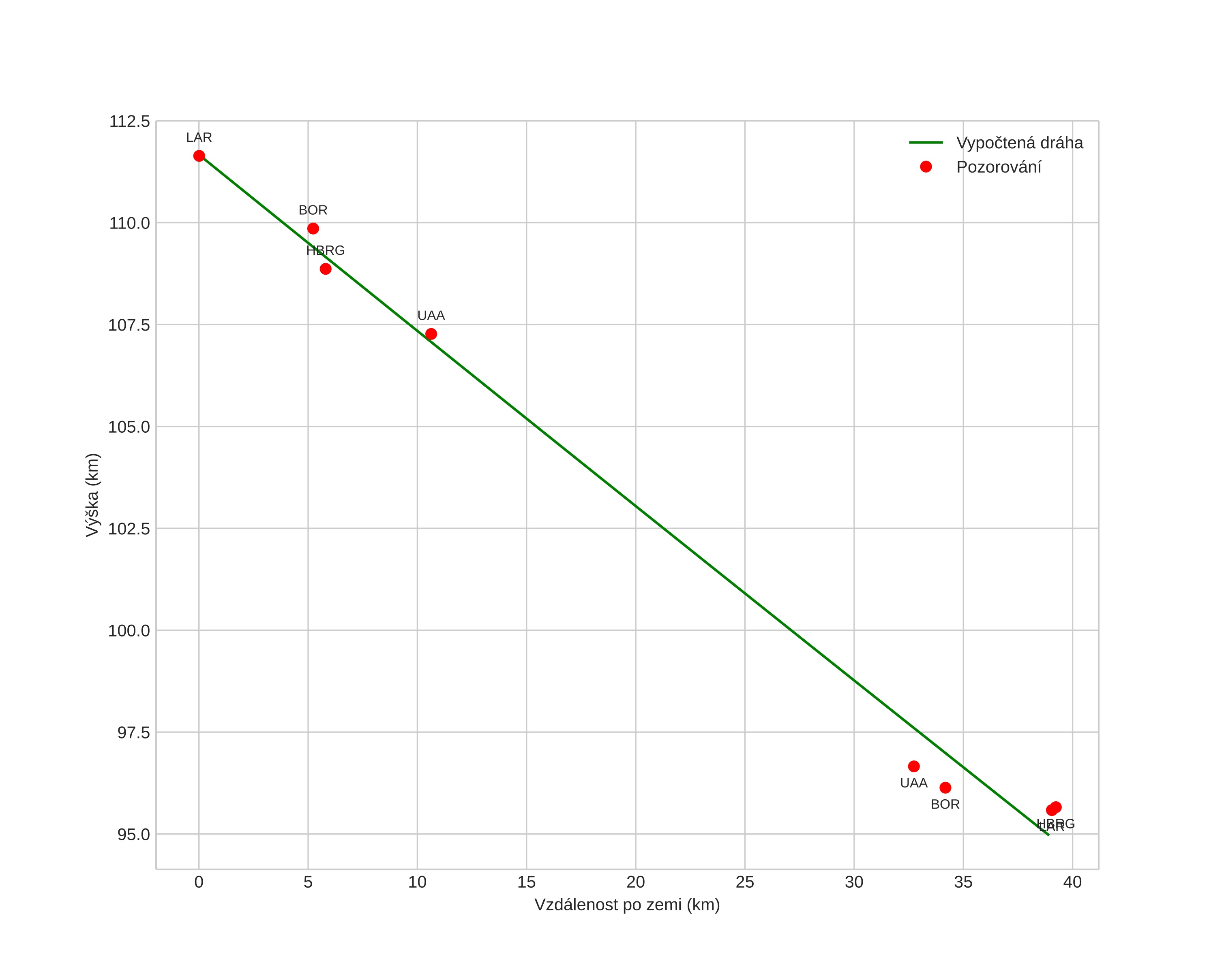
height profile
Atmosférická dráha meteoru:
Počáteční výška: 113,3 km
Konečná výška: 95,0 km
Počáteční poloha: 60,883N 14,409E
Konečná poloha: 60,557N 13,996E
Směr: 212,0°
Sklon: 23,2°
VstupnĂ­ rychlost: 56,5 km/s
Rektascenze radiantu: 05:25 (81,3°)
Deklinace radiantu: 45,8°
MeteorickĂ˝ roj: sporadickĂ˝
Elementy dráhy meteoroidu:
Vzdálenost v periheliu: 0,872 AU
Excentricita: 0,178
Sklon dráhy: 135,0°
Délka vzestupného uzlu: 167,1°
Argument perihelia: 96,5°
Střední anomálie: 63,6°
Epocha: 2021 SEP 09 20:10:10
orbit plot

NeinteraktivnĂ­ graf | InteraktivnĂ­ graf

position vs time
speed and acceleration