🇳🇴 🇬🇧 🇩🇪 🇨🇿 🇫🇮

Meteor Vansbron yllä 2021-09-09 20:10:10 UTC

KML-tiedosto  |  Interaktiivinen kartta

Kartta näyttää meteorin suuntahavainnot. Vaaleammat viivat näyttävät suunnat havaintoasemilta meteorin ilmestyessä, ja tummemmat viivat näyttävät, missä se viimeksi nähtiin. Sininen nuoli näyttää meteorin näkyvän lennon.

static map
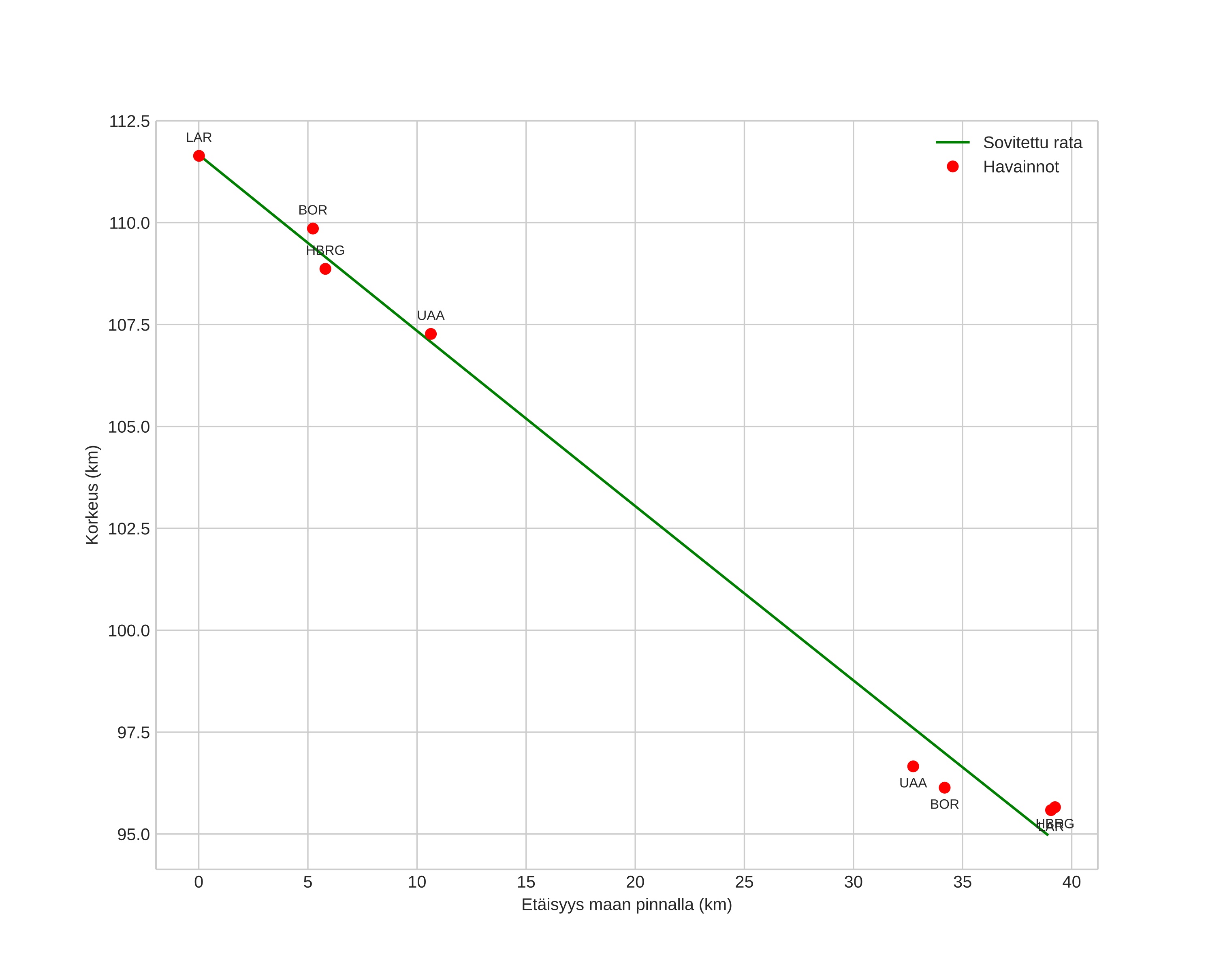
height profile
Meteorin ilmakehärata:
Alkukorkeus: 113,3 km
Loppukorkeus: 95,0 km
Alkupiste: 60,883N 14,409E
Loppupiste: 60,557N 13,996E
Suunta: 212,0°
Kallistuskulma: 23,2°
Tulonopeus: 56,5 km/s
Radiantin R,A,: 05:25 (81,3°)
Radiantin Dekl,: 45,8°
Meteoriparvi: Sporadinen
Meteoroidin rataelementit:
Perihelietäisyys: 0,872 AU
Eksentrisyys: 0,178
Inklinaatio: 135,0°
Nousevan solmun pituus: 167,1°
Perihelin argumentti: 96,5°
Keskianomalia: 63,6°
Epookki: 2021 SEP 09 20:10:10
orbit plot

Ei-interaktiivinen kuvaaja | Interaktiivinen kuvaaja

position vs time
speed and acceleration