🇳🇴 🇬🇧 🇩🇪 🇨🇿 🇫🇮

Meteor, poloha: Myre 2021-09-11 22:38:14 UTC

Soubor KML  |  InteraktivnĂ­ mapa

Mapa zobrazuje dráhy meteoru. Světlejší čáry ukazují směry od pozorovacích stanic při objevení se meteoru a tmavší čáry, kde byl naposledy viděn. Modrá šipka značí viditelnou dráhu meteoru.

static map
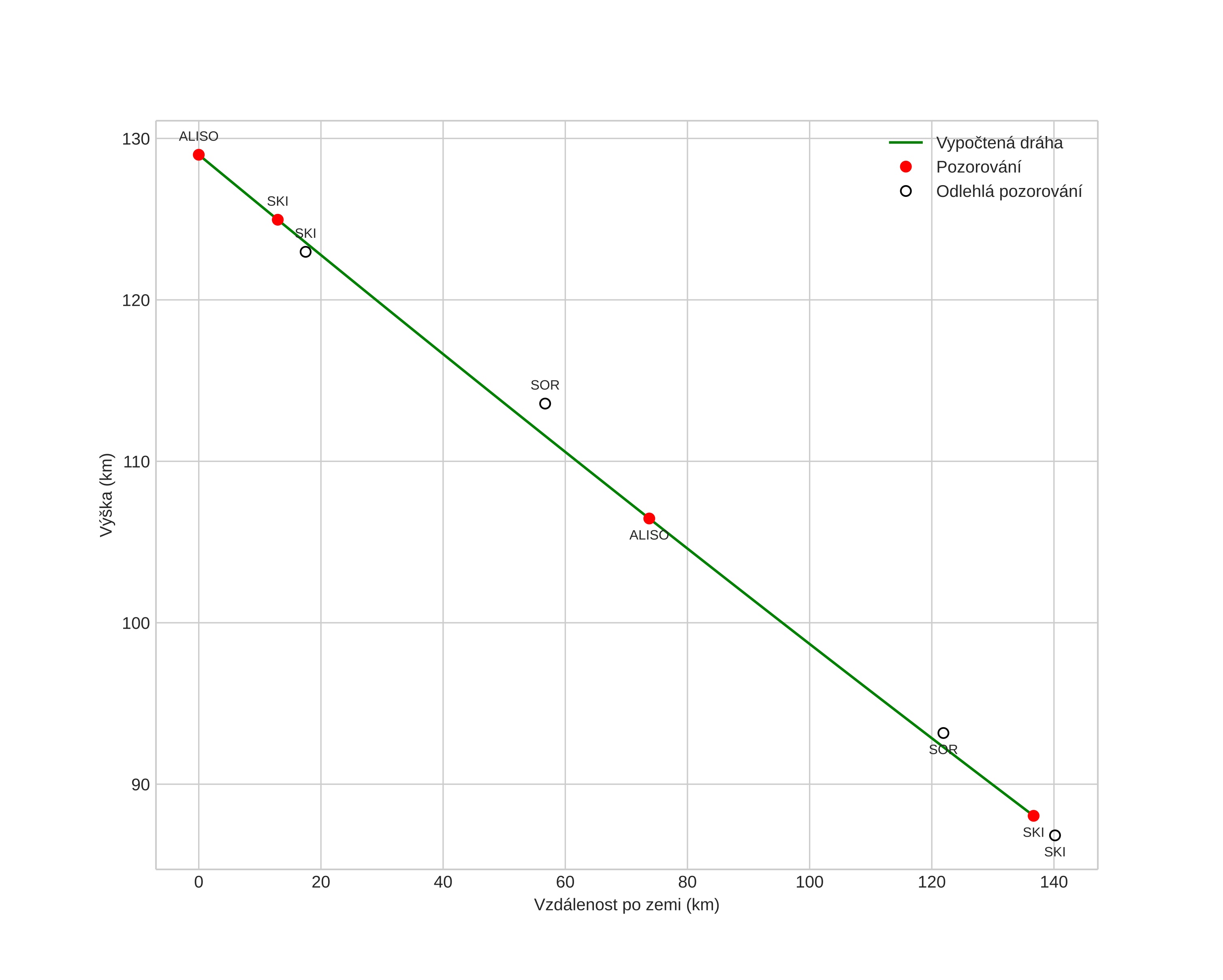
height profile
Atmosférická dráha meteoru:
Počáteční výška: 129,0 km
Konečná výška: 88,0 km
Počáteční poloha: 68,726N 17,978E
Konečná poloha: 69,297N 14,939E
Směr: 299,1°
Sklon: 16,7°
VstupnĂ­ rychlost: 68,1 km/s
Rektascenze radiantu: 03:02 (45,7°)
Deklinace radiantu: 5,0°
MeteorickĂ˝ roj: sporadickĂ˝
Elementy dráhy meteoroidu:
Vzdálenost v periheliu: 0,409 AU
Excentricita: 1,203
Sklon dráhy: 151,0°
Délka vzestupného uzlu: 349,1°
Argument perihelia: 95,0°
Střední anomálie: -11,8°
Epocha: 2021 SEP 11 22:38:14
orbit plot

NeinteraktivnĂ­ graf | InteraktivnĂ­ graf

position vs time
speed and acceleration