🇳🇴 🇬🇧 🇩🇪 🇨🇿 🇫🇮

Meteor Myren yllä 2021-09-11 22:38:14 UTC

KML-tiedosto  |  Interaktiivinen kartta

Kartta näyttää meteorin suuntahavainnot. Vaaleammat viivat näyttävät suunnat havaintoasemilta meteorin ilmestyessä, ja tummemmat viivat näyttävät, missä se viimeksi nähtiin. Sininen nuoli näyttää meteorin näkyvän lennon.

static map
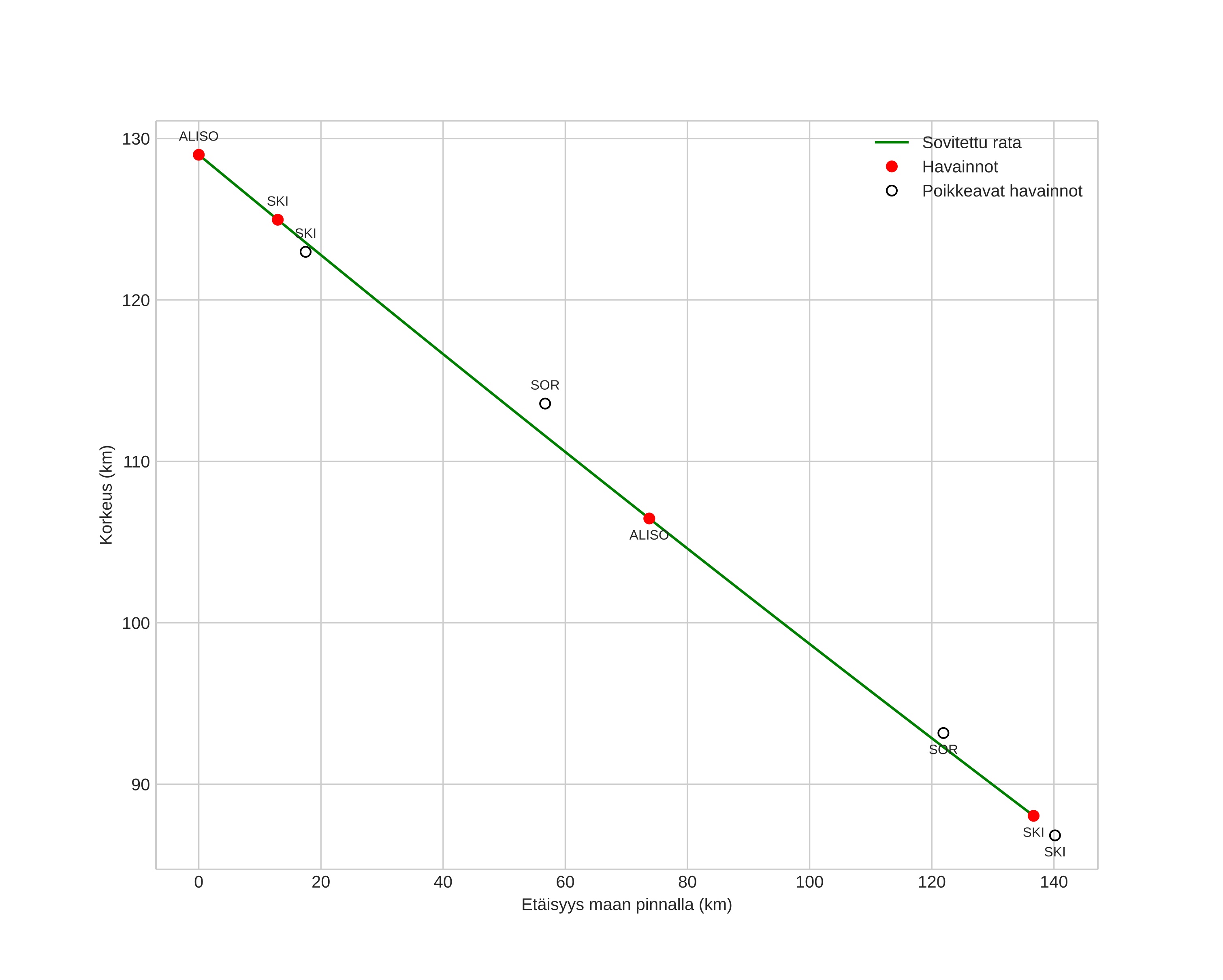
height profile
Meteorin ilmakehärata:
Alkukorkeus: 129,0 km
Loppukorkeus: 88,0 km
Alkupiste: 68,726N 17,978E
Loppupiste: 69,297N 14,939E
Suunta: 299,1°
Kallistuskulma: 16,7°
Tulonopeus: 68,1 km/s
Radiantin R,A,: 03:02 (45,7°)
Radiantin Dekl,: 5,0°
Meteoriparvi: Sporadinen
Meteoroidin rataelementit:
Perihelietäisyys: 0,409 AU
Eksentrisyys: 1,203
Inklinaatio: 151,0°
Nousevan solmun pituus: 349,1°
Perihelin argumentti: 95,0°
Keskianomalia: -11,8°
Epookki: 2021 SEP 11 22:38:14
orbit plot

Ei-interaktiivinen kuvaaja | Interaktiivinen kuvaaja

position vs time
speed and acceleration