🇳🇴 🇬🇧 🇩🇪 🇨🇿 🇫🇮

Meteor, poloha: Bogen 2021-09-11 23:32:14 UTC

Soubor KML  |  InteraktivnĂ­ mapa

Mapa zobrazuje dráhy meteoru. Světlejší čáry ukazují směry od pozorovacích stanic při objevení se meteoru a tmavší čáry, kde byl naposledy viděn. Modrá šipka značí viditelnou dráhu meteoru.

static map
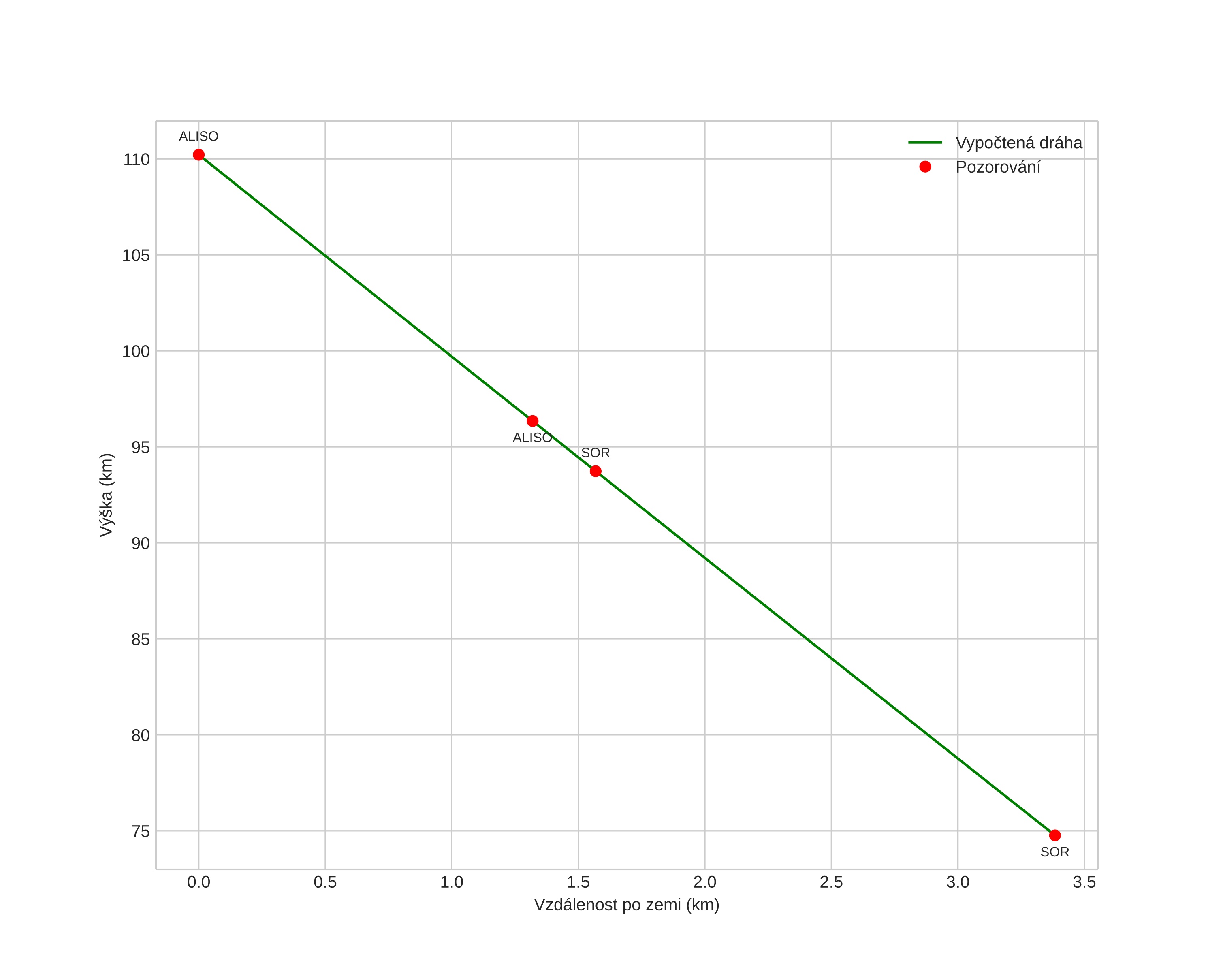
height profile
Atmosférická dráha meteoru:
Počáteční výška: 110,3 km
Konečná výška: 74,7 km
Počáteční poloha: 68,588N 16,848E
Konečná poloha: 68,557N 16,849E
Směr: 179,5°
Sklon: 84,5°
VstupnĂ­ rychlost: 66,6 km/s
Rektascenze radiantu: 00:00 (0,0°)
Deklinace radiantu: 73,9°
MeteorickĂ˝ roj: sporadickĂ˝
Elementy dráhy meteoroidu:
Vzdálenost v periheliu: 0,971 AU
Excentricita: 2,948
Sklon dráhy: 88,5°
Délka vzestupného uzlu: 169,1°
Argument perihelia: 197,7°
Střední anomálie: -24,8°
Epocha: 2021 SEP 11 23:32:14
orbit plot

NeinteraktivnĂ­ graf | InteraktivnĂ­ graf

position vs time
speed and acceleration