🇳🇴 🇬🇧 🇩🇪 🇨🇿 🇫🇮

Meteor Bogenin yllä 2021-09-11 23:32:14 UTC

KML-tiedosto  |  Interaktiivinen kartta

Kartta näyttää meteorin suuntahavainnot. Vaaleammat viivat näyttävät suunnat havaintoasemilta meteorin ilmestyessä, ja tummemmat viivat näyttävät, missä se viimeksi nähtiin. Sininen nuoli näyttää meteorin näkyvän lennon.

static map
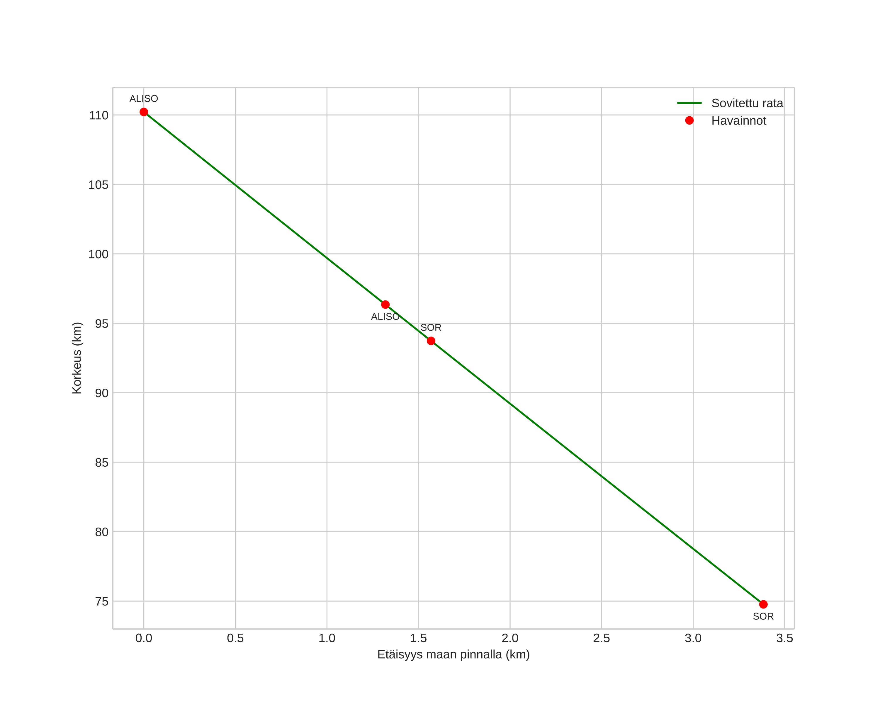
height profile
Meteorin ilmakehärata:
Alkukorkeus: 110,3 km
Loppukorkeus: 74,7 km
Alkupiste: 68,588N 16,848E
Loppupiste: 68,557N 16,849E
Suunta: 179,5°
Kallistuskulma: 84,5°
Tulonopeus: 66,6 km/s
Radiantin R,A,: 00:00 (0,0°)
Radiantin Dekl,: 73,9°
Meteoriparvi: Sporadinen
Meteoroidin rataelementit:
Perihelietäisyys: 0,971 AU
Eksentrisyys: 2,948
Inklinaatio: 88,5°
Nousevan solmun pituus: 169,1°
Perihelin argumentti: 197,7°
Keskianomalia: -24,8°
Epookki: 2021 SEP 11 23:32:14
orbit plot

Ei-interaktiivinen kuvaaja | Interaktiivinen kuvaaja

position vs time
speed and acceleration