🇳🇴 🇬🇧 🇩🇪 🇨🇿 🇫🇮

Meteor, poloha: Risør 2021-09-14 00:58:05 UTC

Soubor KML  |  InteraktivnĂ­ mapa

Mapa zobrazuje dráhy meteoru. Světlejší čáry ukazují směry od pozorovacích stanic při objevení se meteoru a tmavší čáry, kde byl naposledy viděn. Modrá šipka značí viditelnou dráhu meteoru.

static map
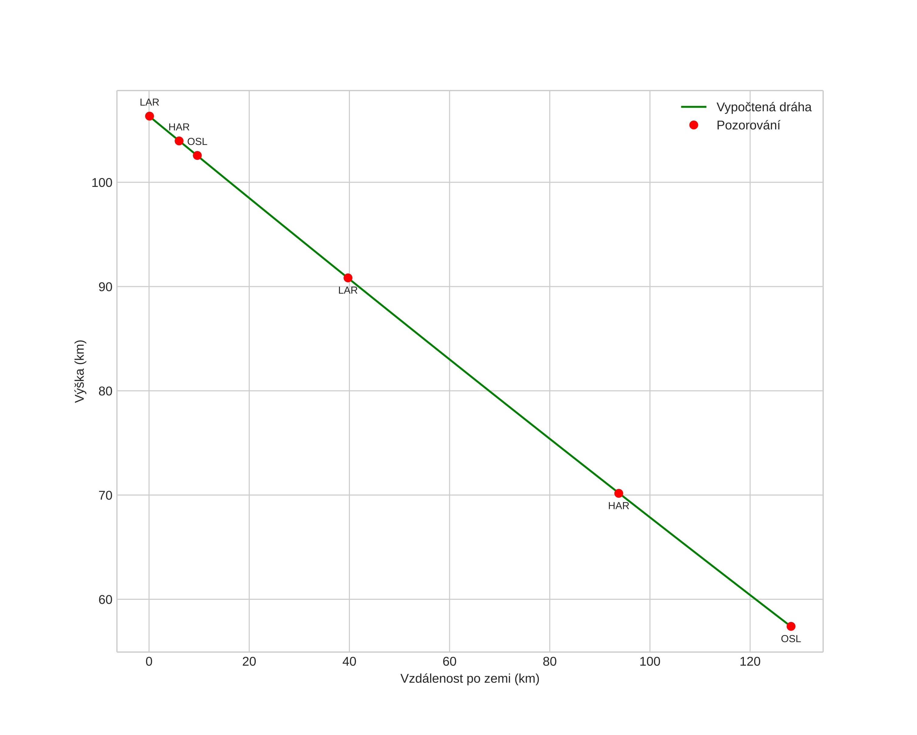
height profile
Atmosférická dráha meteoru:
Počáteční výška: 99,6 km
Konečná výška: 73,9 km
Počáteční poloha: 59,187N 10,092E
Konečná poloha: 58,309N 9,352E
Směr: 203,9°
Sklon: 13,6°
VstupnĂ­ rychlost: 50,3 km/s
Rektascenze radiantu: 11:06 (166,6°)
Deklinace radiantu: 40,1°
MeteorickĂ˝ roj: sporadickĂ˝
Elementy dráhy meteoroidu:
Vzdálenost v periheliu: 0,435 AU
Excentricita: 1,297
Sklon dráhy: 59,6°
Délka vzestupného uzlu: 171,2°
Argument perihelia: 89,7°
Střední anomálie: 18,4°
Epocha: 2021 SEP 14 00:58:05
orbit plot

NeinteraktivnĂ­ graf | InteraktivnĂ­ graf

position vs time
speed and acceleration