🇳🇴 🇬🇧 🇩🇪 🇨🇿 🇫🇮

Meteor Risørin yllä 2021-09-14 00:58:05 UTC

KML-tiedosto  |  Interaktiivinen kartta

Kartta näyttää meteorin suuntahavainnot. Vaaleammat viivat näyttävät suunnat havaintoasemilta meteorin ilmestyessä, ja tummemmat viivat näyttävät, missä se viimeksi nähtiin. Sininen nuoli näyttää meteorin näkyvän lennon.

static map
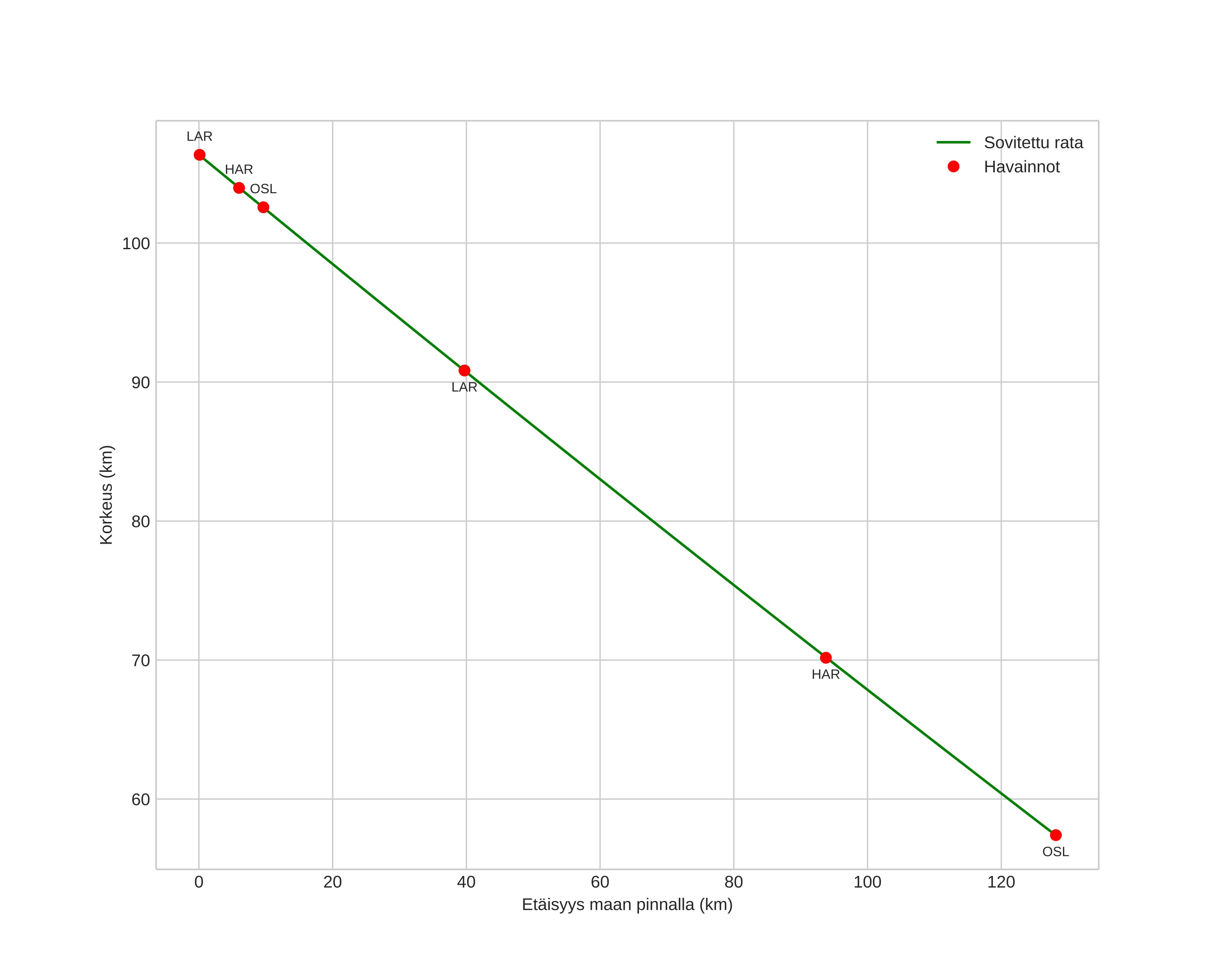
height profile
Meteorin ilmakehärata:
Alkukorkeus: 99,6 km
Loppukorkeus: 73,9 km
Alkupiste: 59,187N 10,092E
Loppupiste: 58,309N 9,352E
Suunta: 203,9°
Kallistuskulma: 13,6°
Tulonopeus: 50,3 km/s
Radiantin R,A,: 11:06 (166,6°)
Radiantin Dekl,: 40,1°
Meteoriparvi: Sporadinen
Meteoroidin rataelementit:
Perihelietäisyys: 0,435 AU
Eksentrisyys: 1,297
Inklinaatio: 59,6°
Nousevan solmun pituus: 171,2°
Perihelin argumentti: 89,7°
Keskianomalia: 18,4°
Epookki: 2021 SEP 14 00:58:05
orbit plot

Ei-interaktiivinen kuvaaja | Interaktiivinen kuvaaja

position vs time
speed and acceleration