🇳🇴 🇬🇧 🇩🇪 🇨🇿 🇫🇮

Meteor, poloha: Arvidsjaur 2021-09-16 01:12:00 UTC

Soubor KML  |  InteraktivnĂ­ mapa

Mapa zobrazuje dráhy meteoru. Světlejší čáry ukazují směry od pozorovacích stanic při objevení se meteoru a tmavší čáry, kde byl naposledy viděn. Modrá šipka značí viditelnou dráhu meteoru.

static map
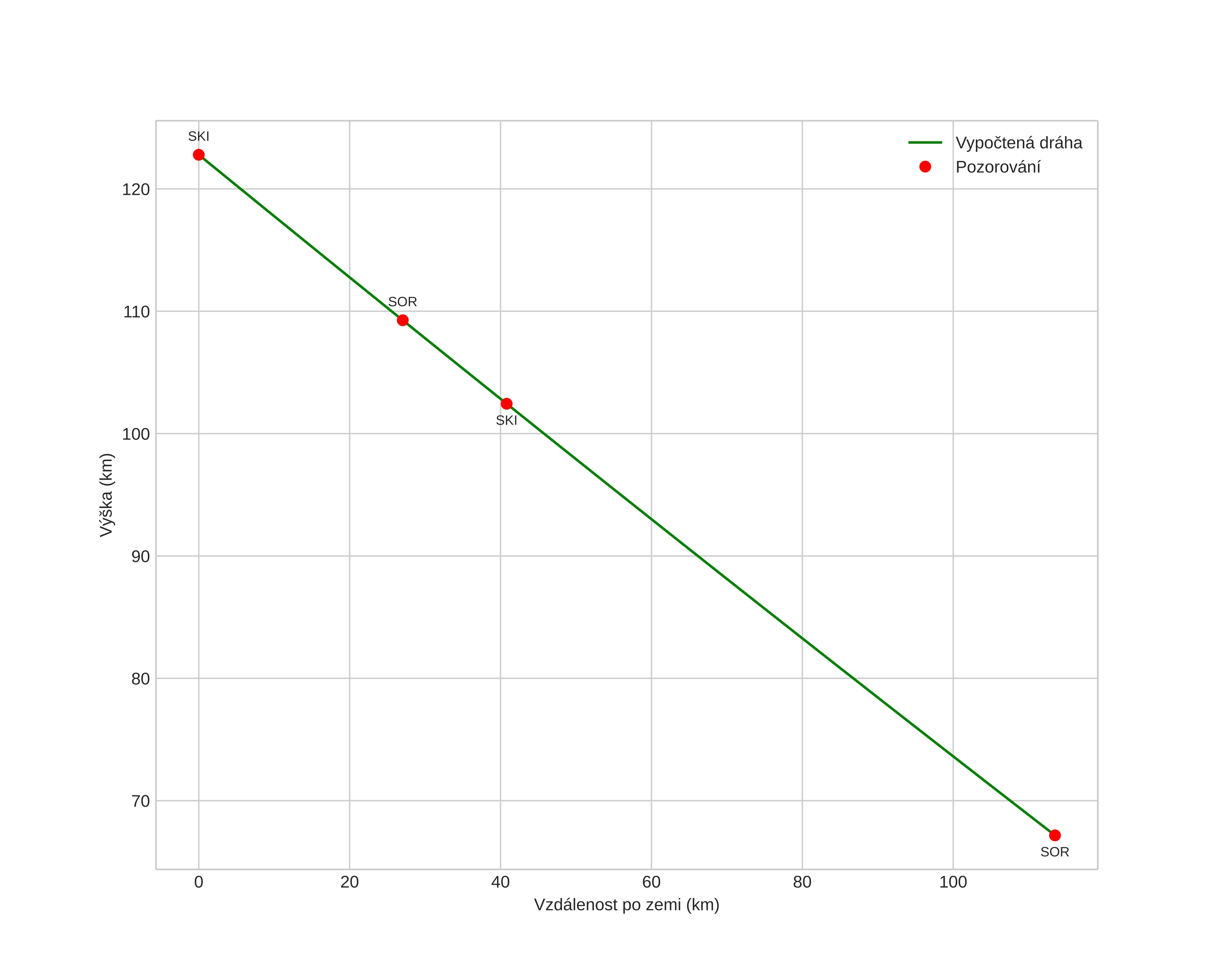
height profile
Atmosférická dráha meteoru:
Počáteční výška: 115,8 km
Konečná výška: 62,2 km
Počáteční poloha: 65,779N 17,431E
Konečná poloha: 65,607N 19,616E
Směr: 99,8°
Sklon: 27,8°
VstupnĂ­ rychlost: 24,7 km/s
Rektascenze radiantu: 20:07 (302,0°)
Deklinace radiantu: 25,4°
MeteorickĂ˝ roj: sporadickĂ˝
Elementy dráhy meteoroidu:
Vzdálenost v periheliu: 0,935 AU
Excentricita: 1,259
Sklon dráhy: 21,2°
Délka vzestupného uzlu: 173,1°
Argument perihelia: 209,0°
Střední anomálie: -2,7°
Epocha: 2021 SEP 16 01:12:00
orbit plot

NeinteraktivnĂ­ graf | InteraktivnĂ­ graf

position vs time
speed and acceleration