🇳🇴 🇬🇧 🇩🇪 🇨🇿 🇫🇮

Meteor Arvidsjaurin yllä 2021-09-16 01:12:00 UTC

KML-tiedosto  |  Interaktiivinen kartta

Kartta näyttää meteorin suuntahavainnot. Vaaleammat viivat näyttävät suunnat havaintoasemilta meteorin ilmestyessä, ja tummemmat viivat näyttävät, missä se viimeksi nähtiin. Sininen nuoli näyttää meteorin näkyvän lennon.

static map
height profile
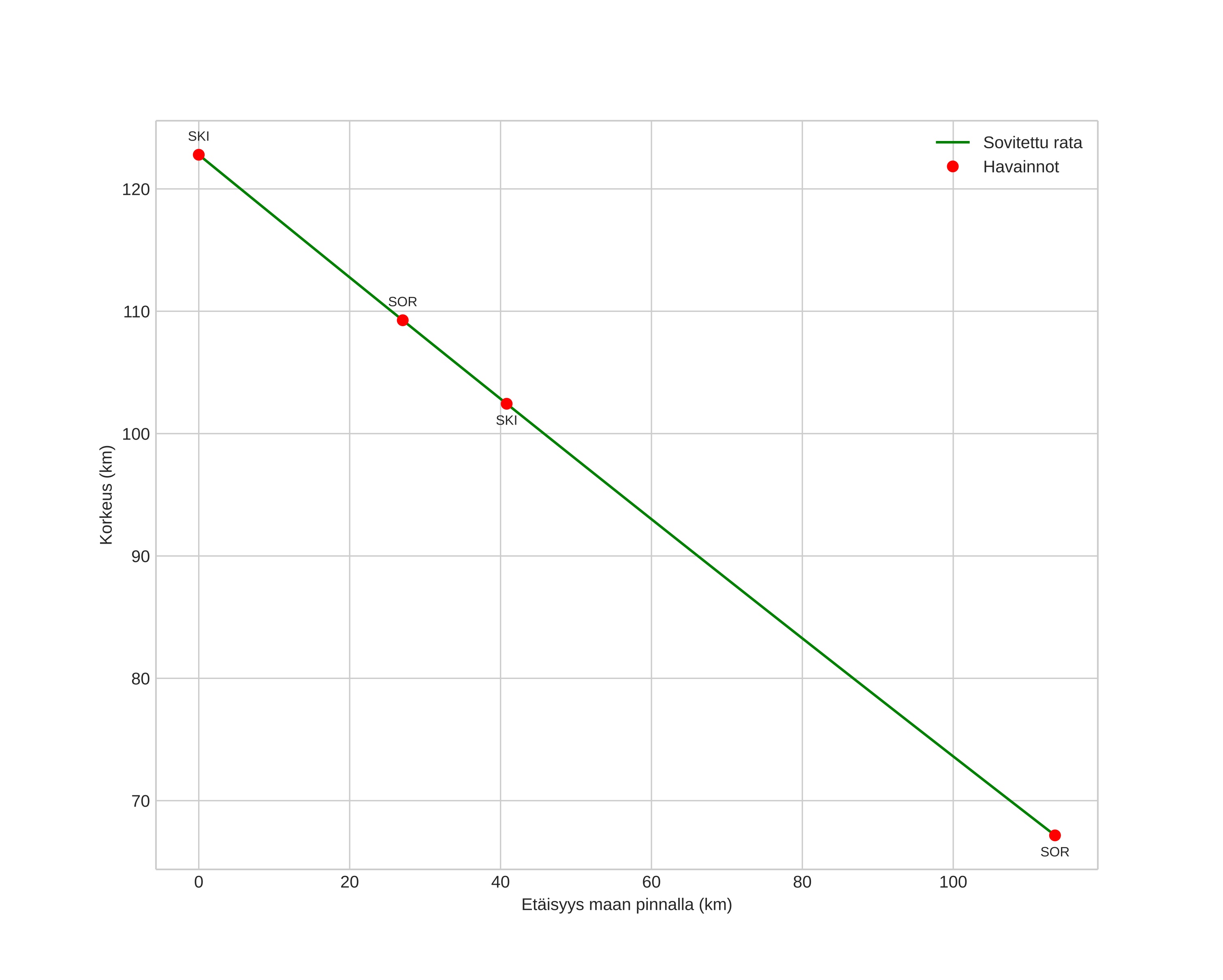
Meteorin ilmakehärata:
Alkukorkeus: 115,8 km
Loppukorkeus: 62,2 km
Alkupiste: 65,779N 17,431E
Loppupiste: 65,607N 19,616E
Suunta: 99,8°
Kallistuskulma: 27,8°
Tulonopeus: 24,7 km/s
Radiantin R,A,: 20:07 (302,0°)
Radiantin Dekl,: 25,4°
Meteoriparvi: Sporadinen
Meteoroidin rataelementit:
Perihelietäisyys: 0,935 AU
Eksentrisyys: 1,259
Inklinaatio: 21,2°
Nousevan solmun pituus: 173,1°
Perihelin argumentti: 209,0°
Keskianomalia: -2,7°
Epookki: 2021 SEP 16 01:12:00
orbit plot

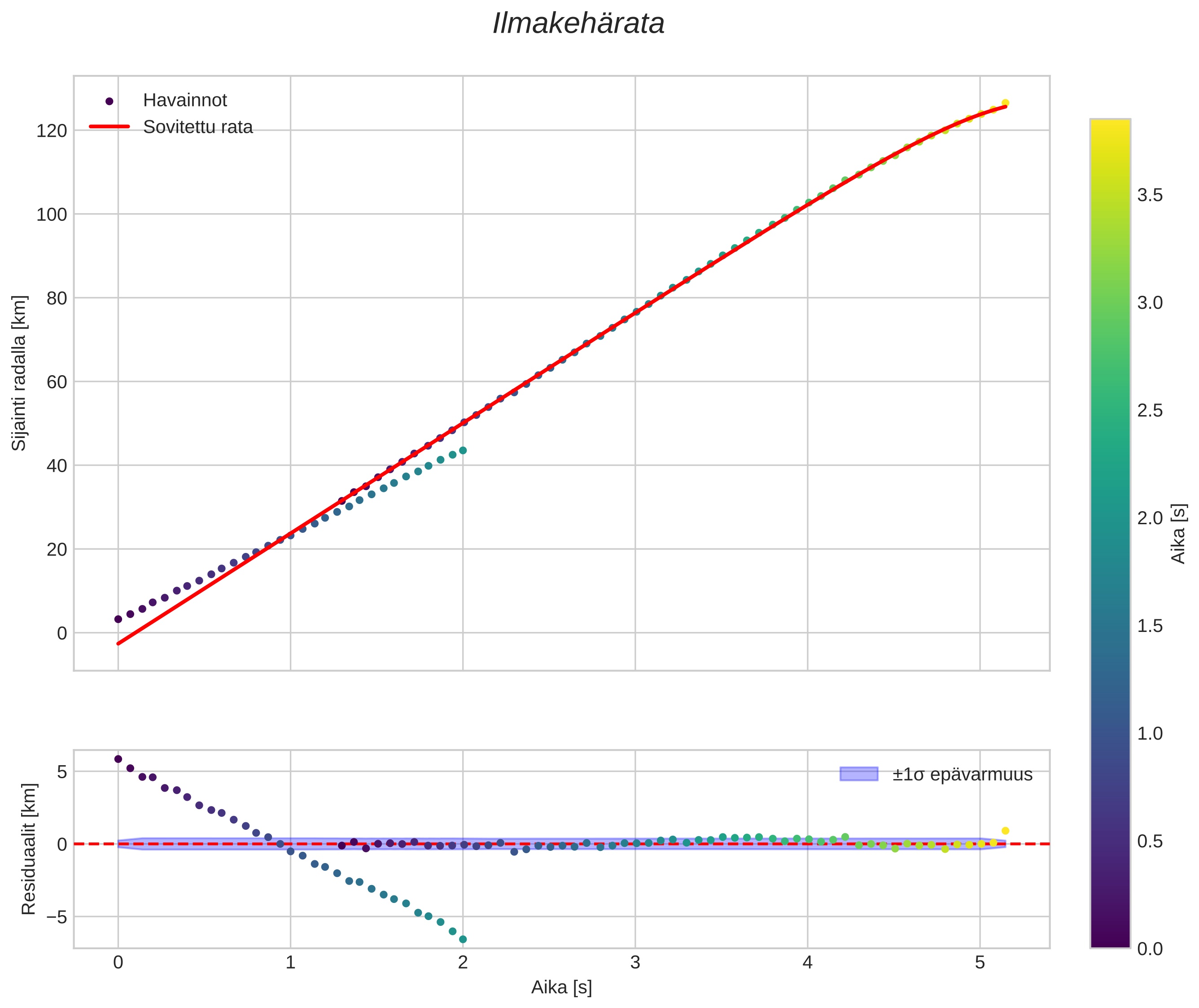
Ei-interaktiivinen kuvaaja | Interaktiivinen kuvaaja

position vs time
speed and acceleration