🇳🇴 🇬🇧 🇩🇪 🇨🇿 🇫🇮

Meteor, poloha: Storslett 2021-09-16 01:25:40 UTC

Soubor KML  |  InteraktivnĂ­ mapa

Mapa zobrazuje dráhy meteoru. Světlejší čáry ukazují směry od pozorovacích stanic při objevení se meteoru a tmavší čáry, kde byl naposledy viděn. Modrá šipka značí viditelnou dráhu meteoru.

static map
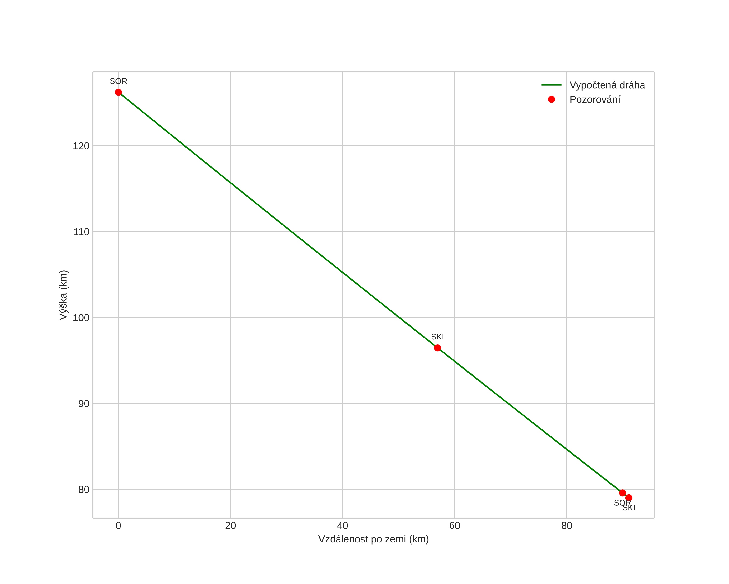
height profile
Atmosférická dráha meteoru:
Počáteční výška: 99,2 km
Konečná výška: 77,1 km
Počáteční poloha: 69,340N 20,550E
Konečná poloha: 69,642N 21,067E
Směr: 30,8°
Sklon: 29,5°
VstupnĂ­ rychlost: 31,4 km/s
Rektascenze radiantu: 00:36 (9,2°)
Deklinace radiantu: 9,0°
MeteorickĂ˝ roj: JiĹľnĂ­ Tauridy
Elementy dráhy meteoroidu:
Vzdálenost v periheliu: 0,254 AU
Excentricita: 0,842
Sklon dráhy: 6,7°
Délka vzestupného uzlu: 173,1°
Argument perihelia: 309,4°
Střední anomálie: 339,5°
Epocha: 2021 SEP 16 01:25:40
orbit plot

NeinteraktivnĂ­ graf | InteraktivnĂ­ graf

position vs time
speed and acceleration