🇳🇴 🇬🇧 🇩🇪 🇨🇿 🇫🇮

Meteor Storslettin yllä 2021-09-16 01:25:40 UTC

KML-tiedosto  |  Interaktiivinen kartta

Kartta näyttää meteorin suuntahavainnot. Vaaleammat viivat näyttävät suunnat havaintoasemilta meteorin ilmestyessä, ja tummemmat viivat näyttävät, missä se viimeksi nähtiin. Sininen nuoli näyttää meteorin näkyvän lennon.

static map
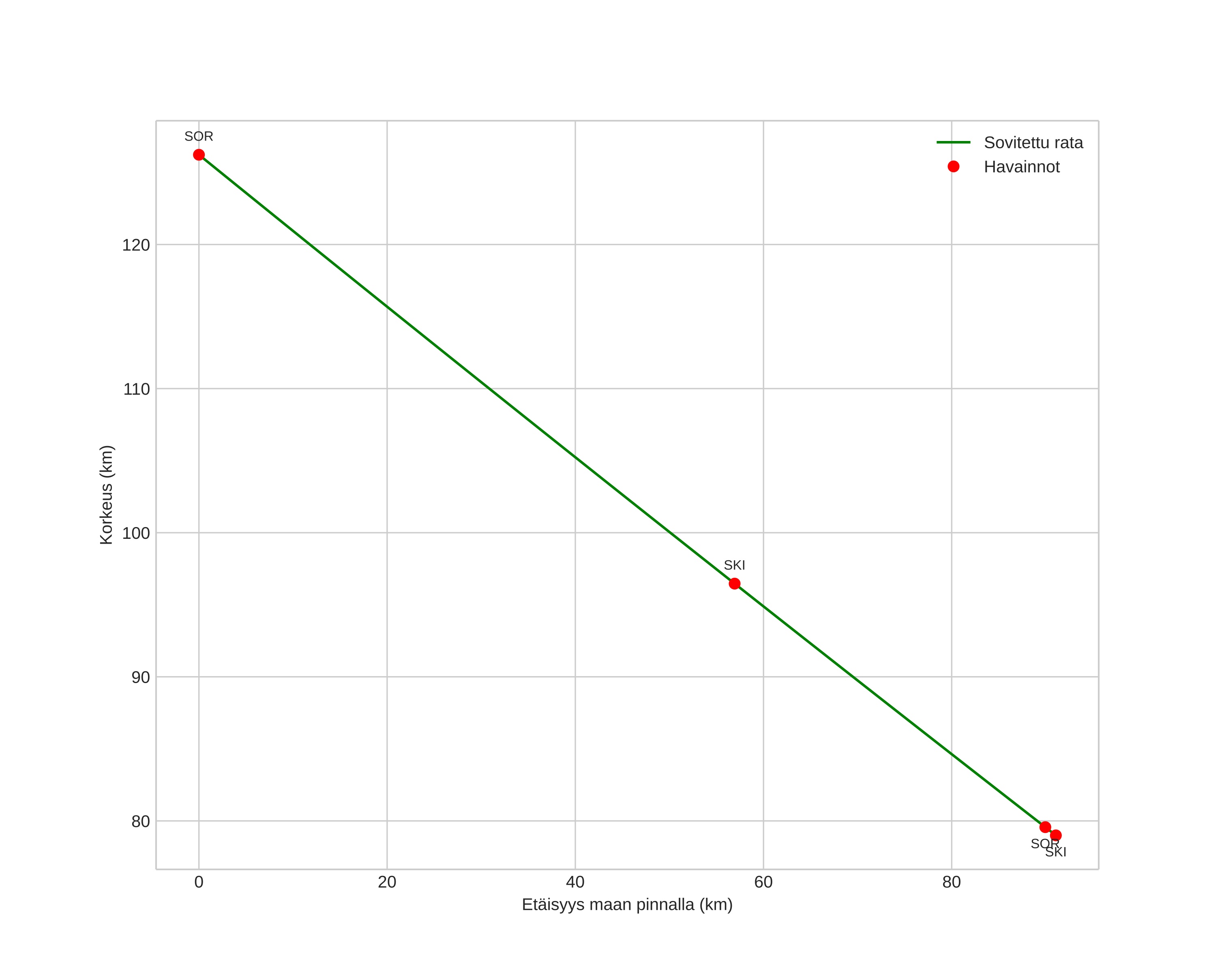
height profile
Meteorin ilmakehärata:
Alkukorkeus: 99,2 km
Loppukorkeus: 77,1 km
Alkupiste: 69,340N 20,550E
Loppupiste: 69,642N 21,067E
Suunta: 30,8°
Kallistuskulma: 29,5°
Tulonopeus: 31,4 km/s
Radiantin R,A,: 00:36 (9,2°)
Radiantin Dekl,: 9,0°
Meteoriparvi: Eteläiset tauridit
Meteoroidin rataelementit:
Perihelietäisyys: 0,254 AU
Eksentrisyys: 0,842
Inklinaatio: 6,7°
Nousevan solmun pituus: 173,1°
Perihelin argumentti: 309,4°
Keskianomalia: 339,5°
Epookki: 2021 SEP 16 01:25:40
orbit plot

Ei-interaktiivinen kuvaaja | Interaktiivinen kuvaaja

position vs time
speed and acceleration