🇳🇴 🇬🇧 🇩🇪 🇨🇿 🇫🇮

Meteor, poloha: Hinnerup 2021-09-23 19:50:09 UTC

Soubor KML  |  InteraktivnĂ­ mapa

Mapa zobrazuje dráhy meteoru. Světlejší čáry ukazují směry od pozorovacích stanic při objevení se meteoru a tmavší čáry, kde byl naposledy viděn. Modrá šipka značí viditelnou dráhu meteoru.

static map
height profile
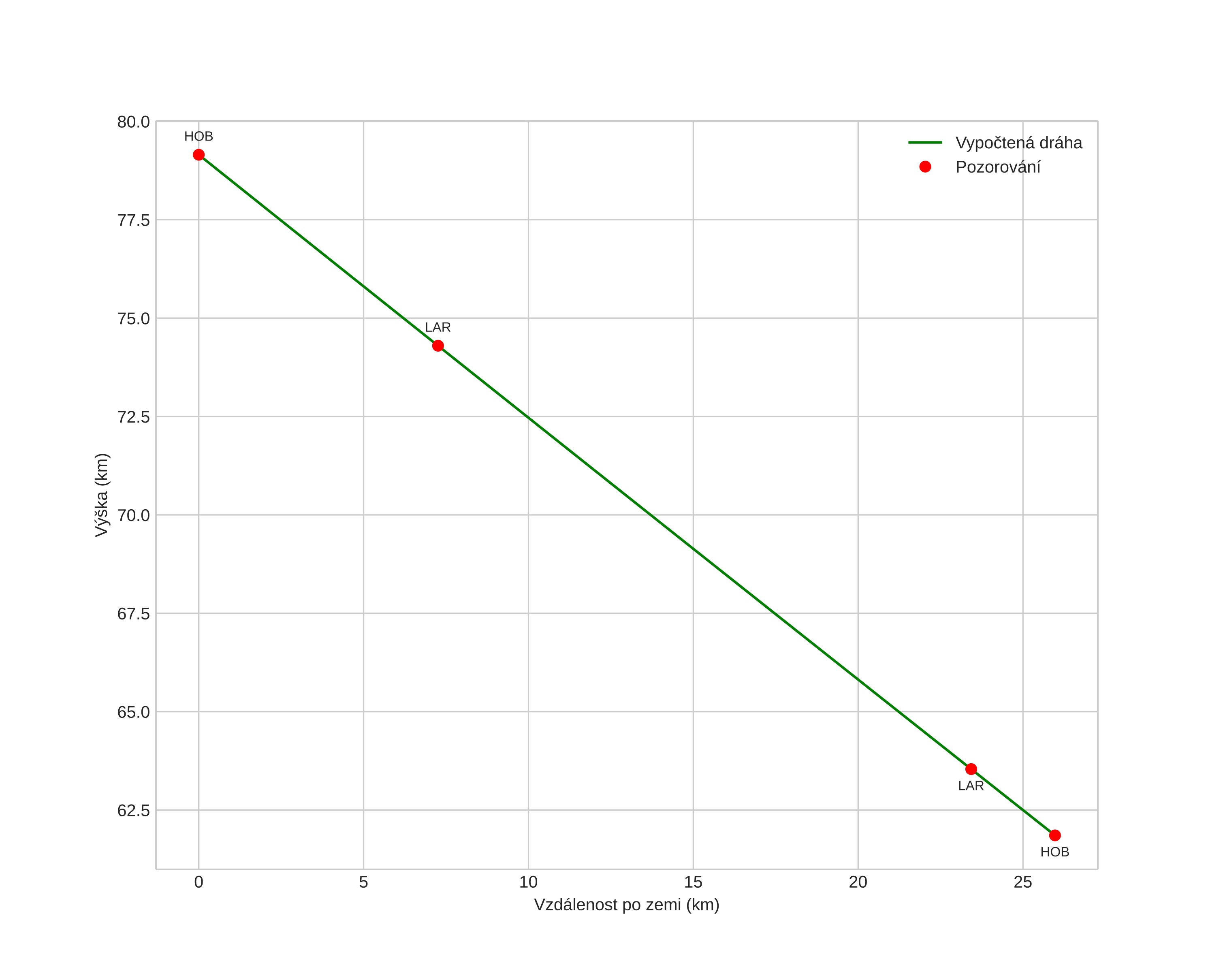
Atmosférická dráha meteoru:
Počáteční výška: 79,0 km
Konečná výška: 62,3 km
Počáteční poloha: 56,513N 9,432E
Konečná poloha: 56,710N 9,199E
Směr: 327,0°
Sklon: 32,6°
VstupnĂ­ rychlost: 20,2 km/s
Rektascenze radiantu: 22:31 (337,8°)
Deklinace radiantu: -2,2°
MeteorickĂ˝ roj: sporadickĂ˝
Elementy dráhy meteoroidu:
Vzdálenost v periheliu: 0,818 AU
Excentricita: 0,795
Sklon dráhy: 3,1°
Délka vzestupného uzlu: 180,7°
Argument perihelia: 234,4°
Střední anomálie: 355,6°
Epocha: 2021 SEP 23 19:50:09
orbit plot

NeinteraktivnĂ­ graf | InteraktivnĂ­ graf

position vs time
speed and acceleration