🇳🇴 🇬🇧 🇩🇪 🇨🇿 🇫🇮

Meteor Hinnerupin yllä 2021-09-23 19:50:09 UTC

KML-tiedosto  |  Interaktiivinen kartta

Kartta näyttää meteorin suuntahavainnot. Vaaleammat viivat näyttävät suunnat havaintoasemilta meteorin ilmestyessä, ja tummemmat viivat näyttävät, missä se viimeksi nähtiin. Sininen nuoli näyttää meteorin näkyvän lennon.

static map
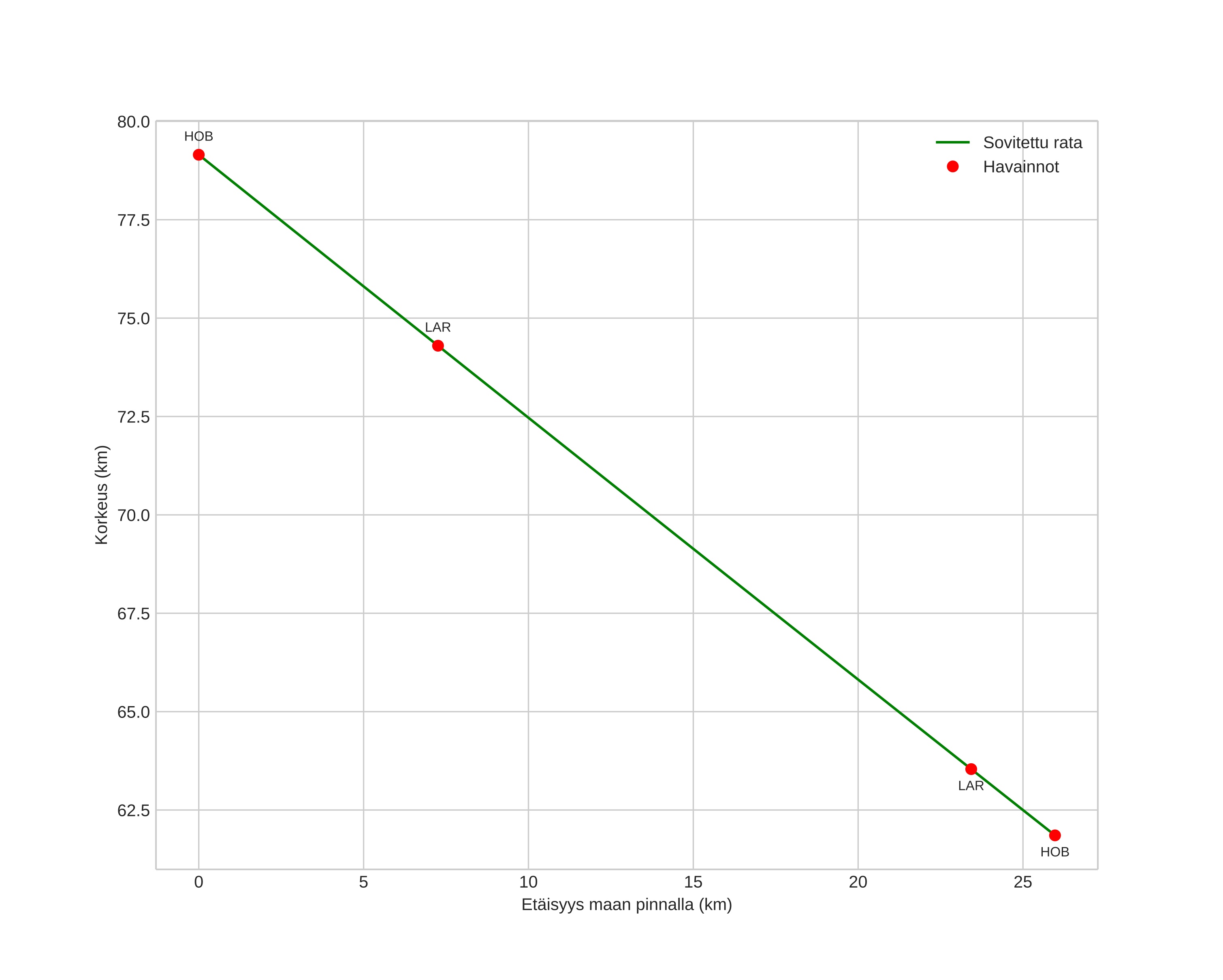
height profile
Meteorin ilmakehärata:
Alkukorkeus: 79,0 km
Loppukorkeus: 62,3 km
Alkupiste: 56,513N 9,432E
Loppupiste: 56,710N 9,199E
Suunta: 327,0°
Kallistuskulma: 32,6°
Tulonopeus: 20,2 km/s
Radiantin R,A,: 22:31 (337,8°)
Radiantin Dekl,: -2,2°
Meteoriparvi: Sporadinen
Meteoroidin rataelementit:
Perihelietäisyys: 0,818 AU
Eksentrisyys: 0,795
Inklinaatio: 3,1°
Nousevan solmun pituus: 180,7°
Perihelin argumentti: 234,4°
Keskianomalia: 355,6°
Epookki: 2021 SEP 23 19:50:09
orbit plot

Ei-interaktiivinen kuvaaja | Interaktiivinen kuvaaja

position vs time
speed and acceleration