🇳🇴 🇬🇧 🇩🇪 🇨🇿 🇫🇮

Meteor, poloha: Kongsberg 2021-09-24 20:16:24 UTC

Soubor KML  |  InteraktivnĂ­ mapa

Mapa zobrazuje dráhy meteoru. Světlejší čáry ukazují směry od pozorovacích stanic při objevení se meteoru a tmavší čáry, kde byl naposledy viděn. Modrá šipka značí viditelnou dráhu meteoru.

static map
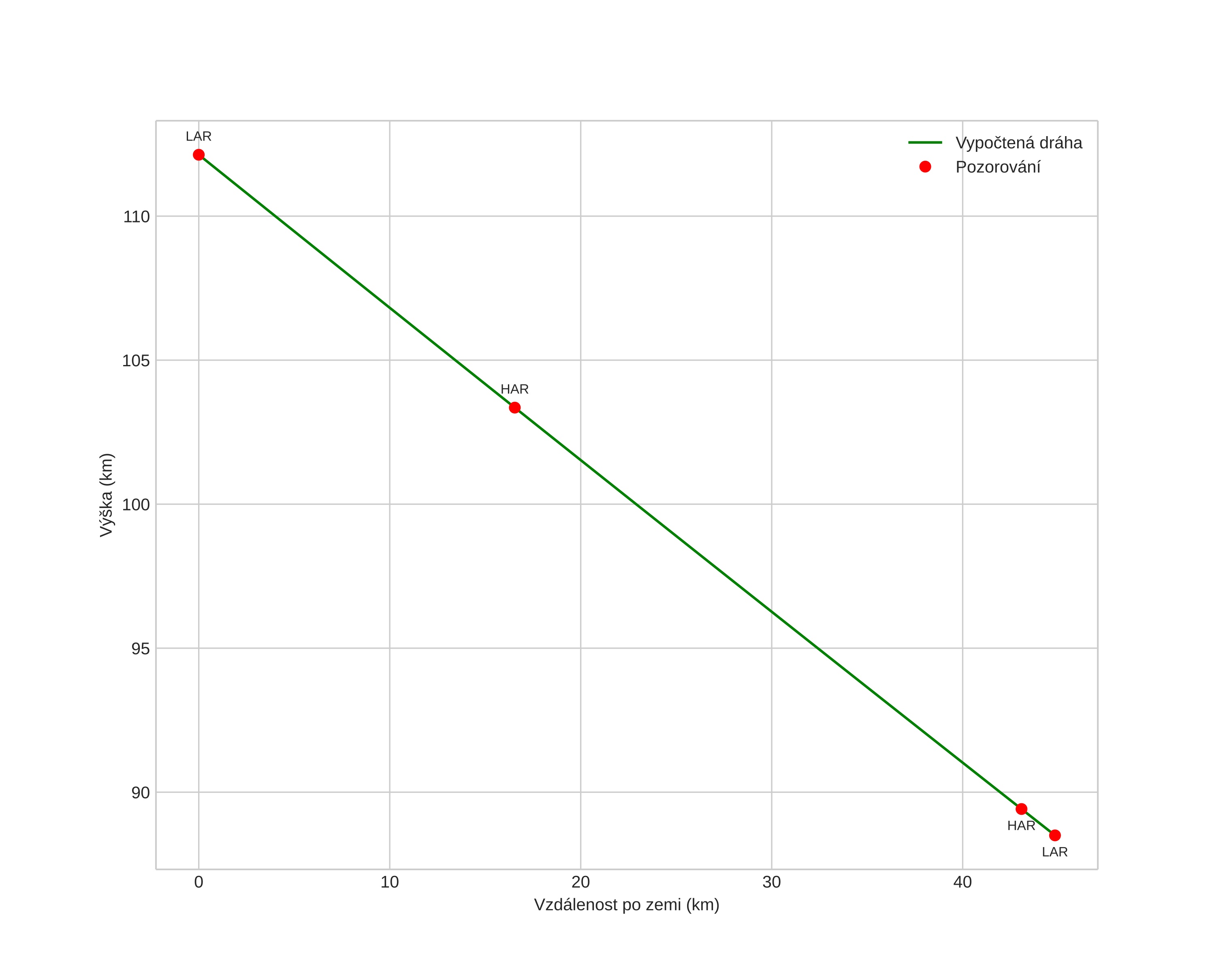
height profile
Atmosférická dráha meteoru:
Počáteční výška: 110,8 km
Konečná výška: 88,5 km
Počáteční poloha: 59,982N 10,294E
Konečná poloha: 59,762N 9,677E
Směr: 234,8°
Sklon: 27,8°
VstupnĂ­ rychlost: 70,6 km/s
Rektascenze radiantu: 04:16 (64,2°)
Deklinace radiantu: 40,9°
MeteorickĂ˝ roj: sporadickĂ˝
Elementy dráhy meteoroidu:
Vzdálenost v periheliu: 0,737 AU
Excentricita: 1,300
Sklon dráhy: 143,6°
Délka vzestupného uzlu: 181,7°
Argument perihelia: 237,9°
Střední anomálie: -7,8°
Epocha: 2021 SEP 24 20:16:24
orbit plot

NeinteraktivnĂ­ graf | InteraktivnĂ­ graf

position vs time
speed and acceleration