🇳🇴 🇬🇧 🇩🇪 🇨🇿 🇫🇮

Meteor Kongsbergin yllä 2021-09-24 20:16:24 UTC

KML-tiedosto  |  Interaktiivinen kartta

Kartta näyttää meteorin suuntahavainnot. Vaaleammat viivat näyttävät suunnat havaintoasemilta meteorin ilmestyessä, ja tummemmat viivat näyttävät, missä se viimeksi nähtiin. Sininen nuoli näyttää meteorin näkyvän lennon.

static map
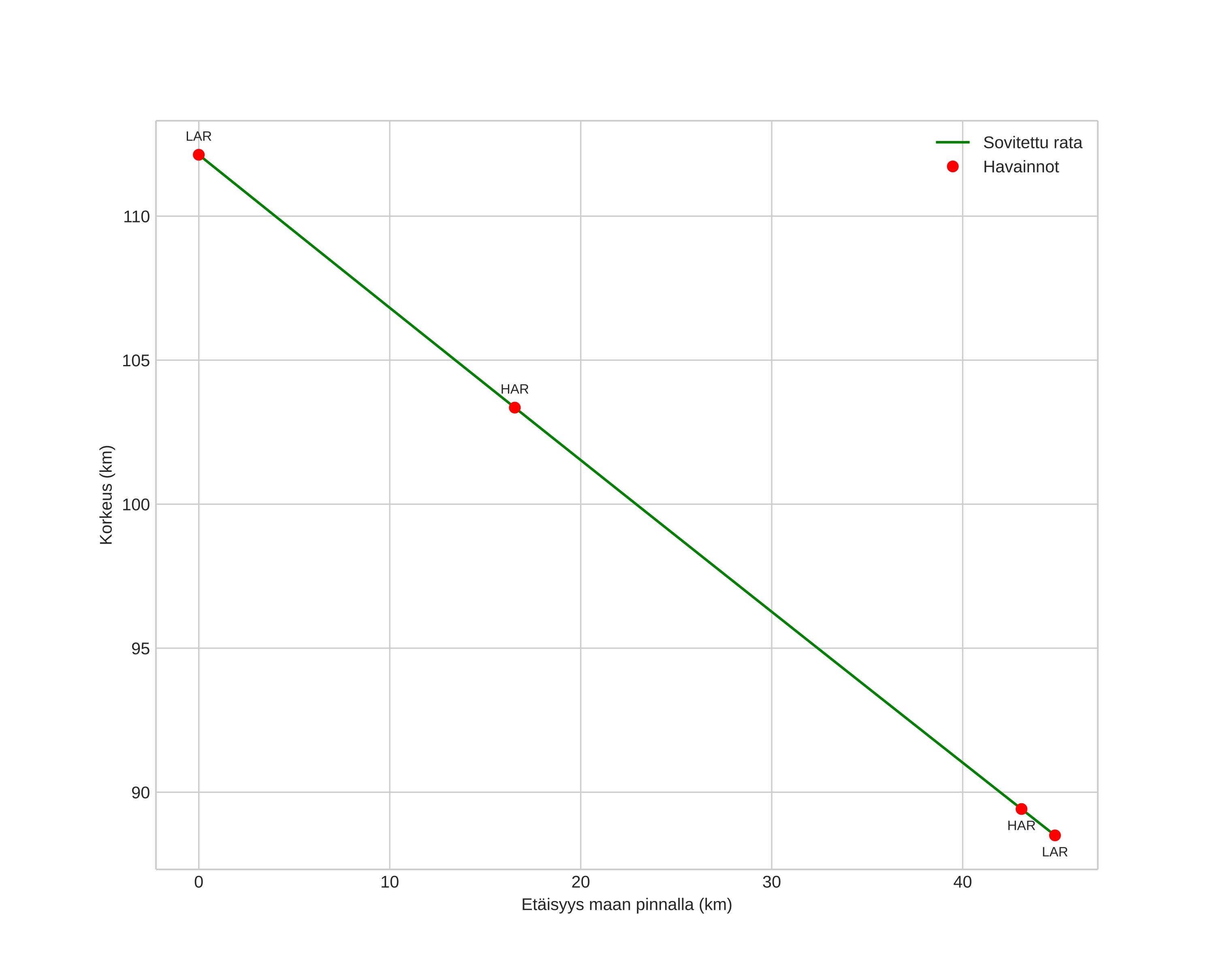
height profile
Meteorin ilmakehärata:
Alkukorkeus: 110,8 km
Loppukorkeus: 88,5 km
Alkupiste: 59,982N 10,294E
Loppupiste: 59,762N 9,677E
Suunta: 234,8°
Kallistuskulma: 27,8°
Tulonopeus: 70,6 km/s
Radiantin R,A,: 04:16 (64,2°)
Radiantin Dekl,: 40,9°
Meteoriparvi: Sporadinen
Meteoroidin rataelementit:
Perihelietäisyys: 0,737 AU
Eksentrisyys: 1,300
Inklinaatio: 143,6°
Nousevan solmun pituus: 181,7°
Perihelin argumentti: 237,9°
Keskianomalia: -7,8°
Epookki: 2021 SEP 24 20:16:24
orbit plot

Ei-interaktiivinen kuvaaja | Interaktiivinen kuvaaja

position vs time
speed and acceleration