🇳🇴 🇬🇧 🇩🇪 🇨🇿 🇫🇮

Meteor, poloha: Byrum 2021-09-25 00:34:27 UTC

Soubor KML  |  InteraktivnĂ­ mapa

Mapa zobrazuje dráhy meteoru. Světlejší čáry ukazují směry od pozorovacích stanic při objevení se meteoru a tmavší čáry, kde byl naposledy viděn. Modrá šipka značí viditelnou dráhu meteoru.

static map
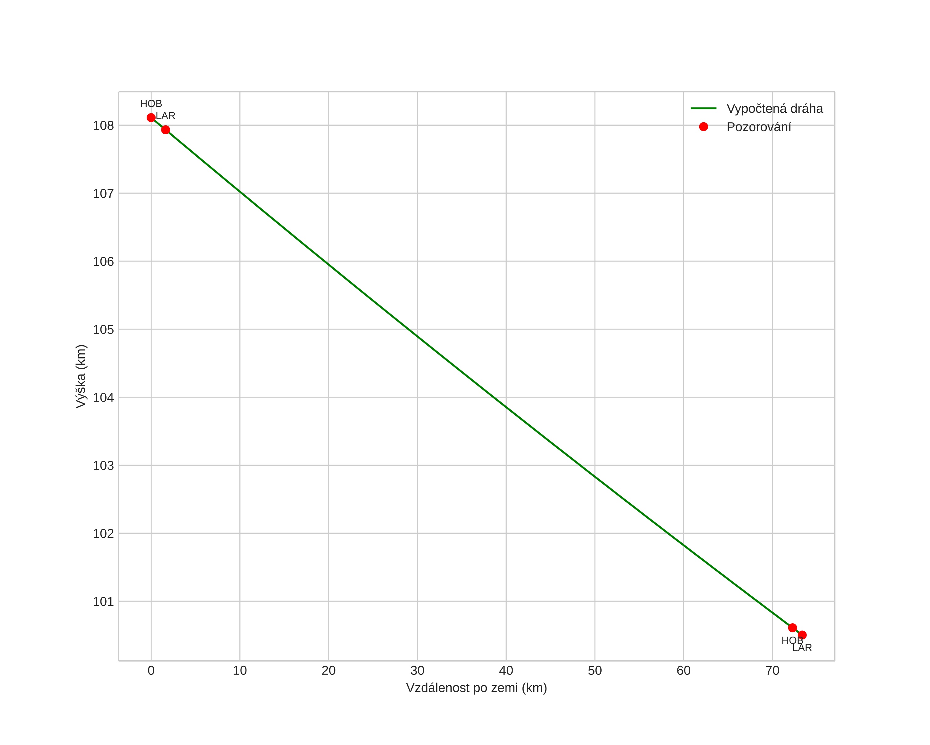
height profile
Atmosférická dráha meteoru:
Počáteční výška: 108,4 km
Konečná výška: 100,6 km
Počáteční poloha: 56,911N 11,898E
Konečná poloha: 57,247N 10,868E
Směr: 301,4°
Sklon: 6,1°
VstupnĂ­ rychlost: 69,4 km/s
Rektascenze radiantu: 05:37 (84,3°)
Deklinace radiantu: -11,8°
MeteorickĂ˝ roj: sporadickĂ˝
Elementy dráhy meteoroidu:
Vzdálenost v periheliu: 0,974 AU
Excentricita: 1,549
Sklon dráhy: 123,1°
Délka vzestupného uzlu: 1,9°
Argument perihelia: 17,7°
Střední anomálie: -4,6°
Epocha: 2021 SEP 25 00:34:27
orbit plot

NeinteraktivnĂ­ graf | InteraktivnĂ­ graf

position vs time
speed and acceleration