🇳🇴 🇬🇧 🇩🇪 🇨🇿 🇫🇮

Meteor Byrumin yllä 2021-09-25 00:34:27 UTC

KML-tiedosto  |  Interaktiivinen kartta

Kartta näyttää meteorin suuntahavainnot. Vaaleammat viivat näyttävät suunnat havaintoasemilta meteorin ilmestyessä, ja tummemmat viivat näyttävät, missä se viimeksi nähtiin. Sininen nuoli näyttää meteorin näkyvän lennon.

static map
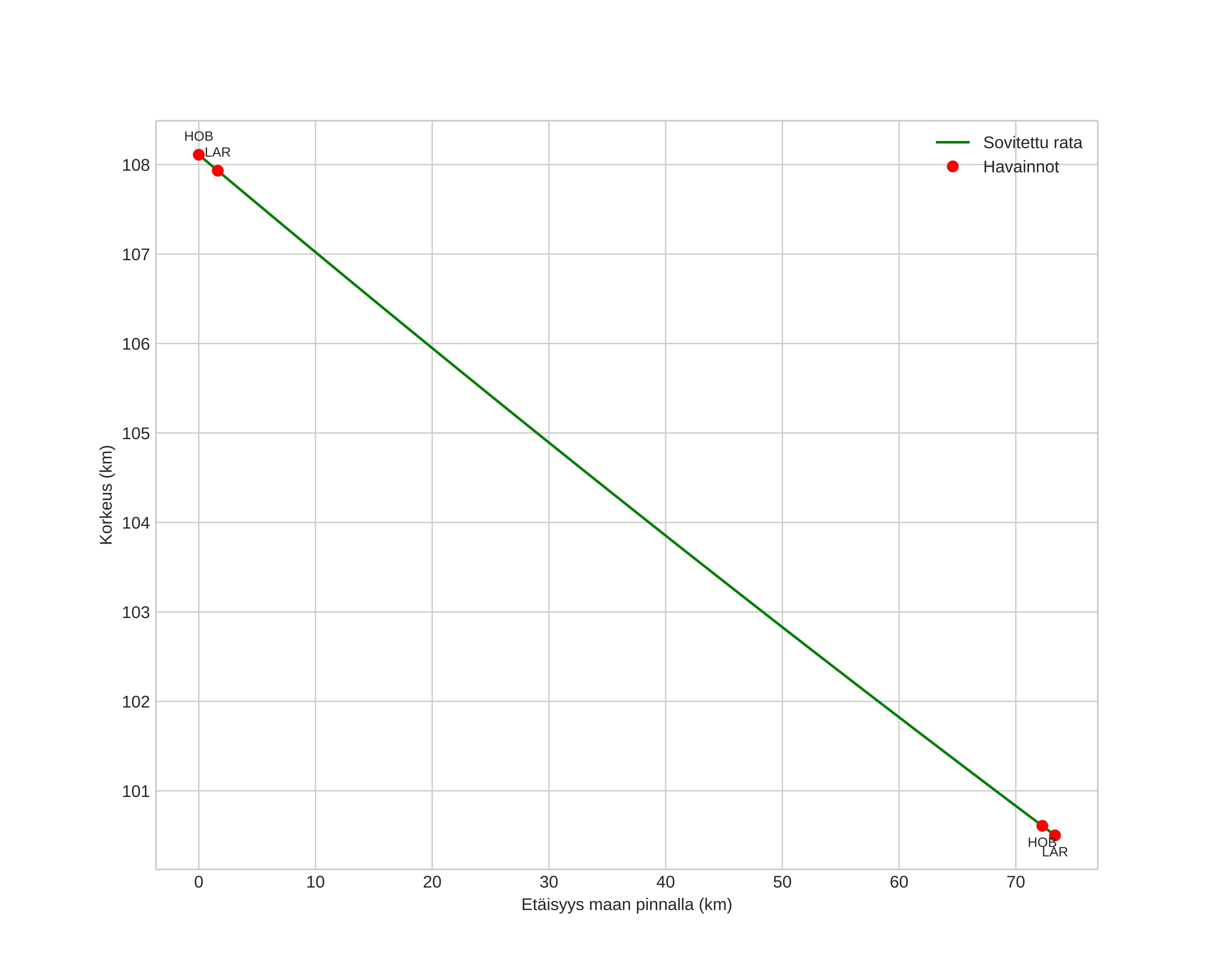
height profile
Meteorin ilmakehärata:
Alkukorkeus: 108,4 km
Loppukorkeus: 100,6 km
Alkupiste: 56,911N 11,898E
Loppupiste: 57,247N 10,868E
Suunta: 301,4°
Kallistuskulma: 6,1°
Tulonopeus: 69,4 km/s
Radiantin R,A,: 05:37 (84,3°)
Radiantin Dekl,: -11,8°
Meteoriparvi: Sporadinen
Meteoroidin rataelementit:
Perihelietäisyys: 0,974 AU
Eksentrisyys: 1,549
Inklinaatio: 123,1°
Nousevan solmun pituus: 1,9°
Perihelin argumentti: 17,7°
Keskianomalia: -4,6°
Epookki: 2021 SEP 25 00:34:27
orbit plot

Ei-interaktiivinen kuvaaja | Interaktiivinen kuvaaja

position vs time
speed and acceleration