🇳🇴 🇬🇧 🇩🇪 🇨🇿 🇫🇮

Meteor, poloha: Mörtnäs 2021-09-26 01:06:47 UTC

Soubor KML  |  InteraktivnĂ­ mapa

Mapa zobrazuje dráhy meteoru. Světlejší čáry ukazují směry od pozorovacích stanic při objevení se meteoru a tmavší čáry, kde byl naposledy viděn. Modrá šipka značí viditelnou dráhu meteoru.

static map
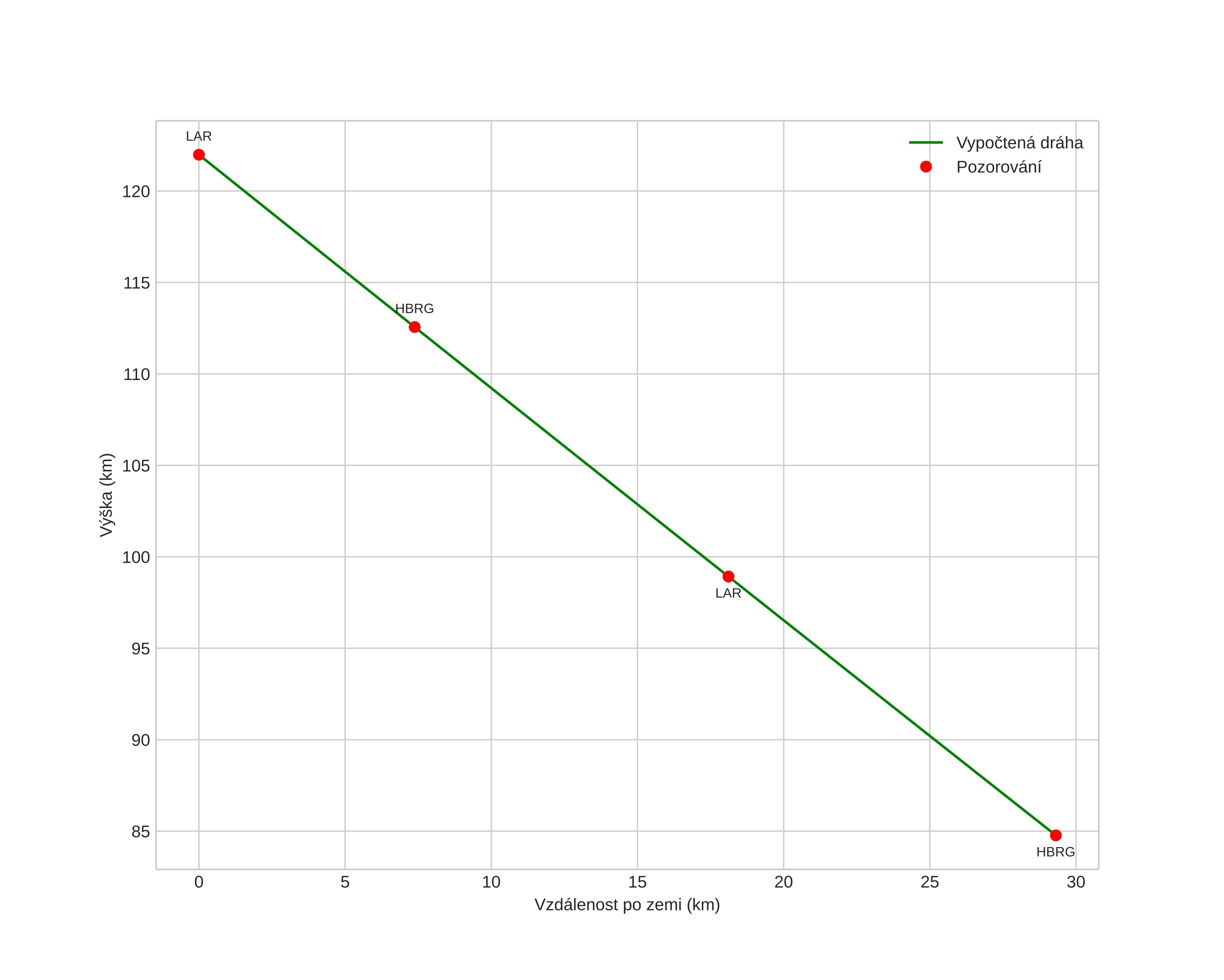
height profile
Atmosférická dráha meteoru:
Počáteční výška: 113,8 km
Konečná výška: 65,9 km
Počáteční poloha: 59,111N 18,934E
Konečná poloha: 59,368N 18,459E
Směr: 316,8°
Sklon: 50,6°
VstupnĂ­ rychlost: 79,9 km/s
Rektascenze radiantu: 04:35 (68,8°)
Deklinace radiantu: 24,9°
MeteorickĂ˝ roj: sporadickĂ˝
Elementy dráhy meteoroidu:
Vzdálenost v periheliu: 0,750 AU
Excentricita: 1,879
Sklon dráhy: 174,8°
Délka vzestupného uzlu: 182,9°
Argument perihelia: 232,1°
Střední anomálie: -31,0°
Epocha: 2021 SEP 26 01:06:47
orbit plot

NeinteraktivnĂ­ graf | InteraktivnĂ­ graf

position vs time
speed and acceleration