🇳🇴 🇬🇧 🇩🇪 🇨🇿 🇫🇮

Meteor Mörtnäsin yllä 2021-09-26 01:06:47 UTC

KML-tiedosto  |  Interaktiivinen kartta

Kartta näyttää meteorin suuntahavainnot. Vaaleammat viivat näyttävät suunnat havaintoasemilta meteorin ilmestyessä, ja tummemmat viivat näyttävät, missä se viimeksi nähtiin. Sininen nuoli näyttää meteorin näkyvän lennon.

static map
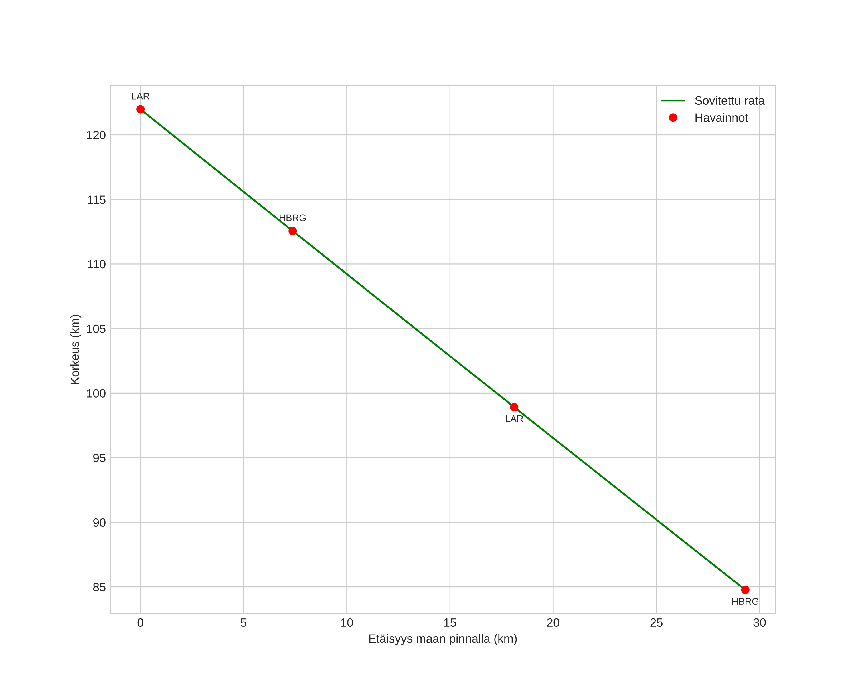
height profile
Meteorin ilmakehärata:
Alkukorkeus: 113,8 km
Loppukorkeus: 65,9 km
Alkupiste: 59,111N 18,934E
Loppupiste: 59,368N 18,459E
Suunta: 316,8°
Kallistuskulma: 50,6°
Tulonopeus: 79,9 km/s
Radiantin R,A,: 04:35 (68,8°)
Radiantin Dekl,: 24,9°
Meteoriparvi: Sporadinen
Meteoroidin rataelementit:
Perihelietäisyys: 0,750 AU
Eksentrisyys: 1,879
Inklinaatio: 174,8°
Nousevan solmun pituus: 182,9°
Perihelin argumentti: 232,1°
Keskianomalia: -31,0°
Epookki: 2021 SEP 26 01:06:47
orbit plot

Ei-interaktiivinen kuvaaja | Interaktiivinen kuvaaja

position vs time
speed and acceleration