🇳🇴 🇬🇧 🇩🇪 🇨🇿 🇫🇮

Meteor, poloha: Storslett 2021-09-28 23:04:36 UTC

Soubor KML  |  InteraktivnĂ­ mapa

Mapa zobrazuje dráhy meteoru. Světlejší čáry ukazují směry od pozorovacích stanic při objevení se meteoru a tmavší čáry, kde byl naposledy viděn. Modrá šipka značí viditelnou dráhu meteoru.

static map
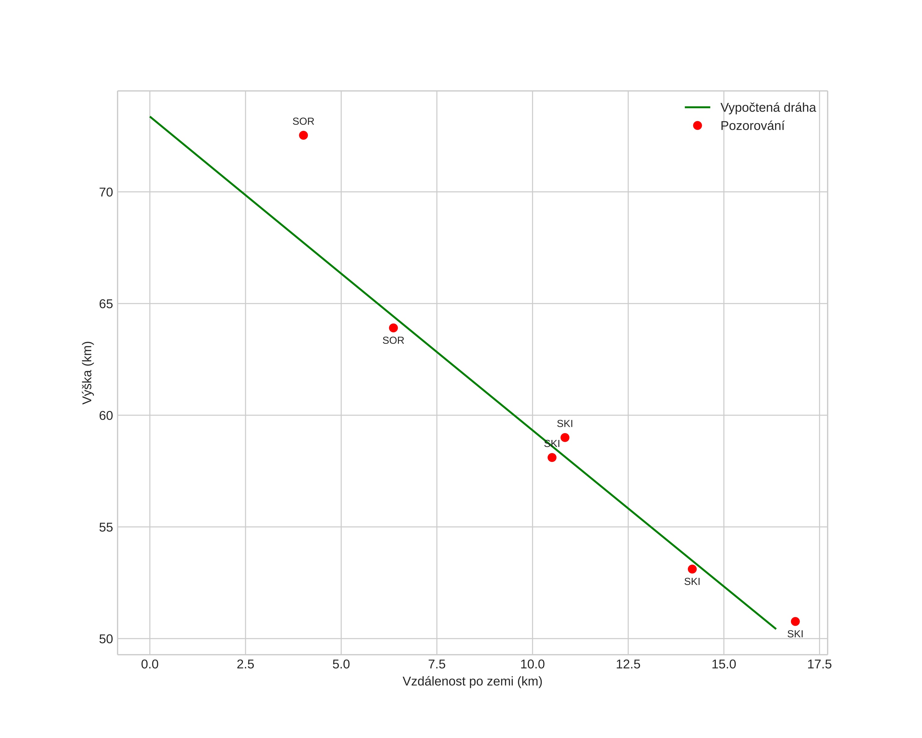
height profile
Atmosférická dráha meteoru:
Počáteční výška: 77,5 km
Konečná výška: 52,2 km
Počáteční poloha: 69,146N 20,737E
Konečná poloha: 69,203N 21,090E
Směr: 65,4°
Sklon: 58,8°
VstupnĂ­ rychlost: 15,5 km/s
Rektascenze radiantu: 21:50 (327,5°)
Deklinace radiantu: 40,7°
MeteorickĂ˝ roj: sporadickĂ˝
Elementy dráhy meteoroidu:
Vzdálenost v periheliu: 0,903 AU
Excentricita: 0,344
Sklon dráhy: 14,7°
Délka vzestupného uzlu: 185,7°
Argument perihelia: 232,1°
Střední anomálie: 334,3°
Epocha: 2021 SEP 28 23:04:36
orbit plot

NeinteraktivnĂ­ graf | InteraktivnĂ­ graf

position vs time
speed and acceleration