🇳🇴 🇬🇧 🇩🇪 🇨🇿 🇫🇮

Meteor Storslettin yllä 2021-09-28 23:04:36 UTC

KML-tiedosto  |  Interaktiivinen kartta

Kartta näyttää meteorin suuntahavainnot. Vaaleammat viivat näyttävät suunnat havaintoasemilta meteorin ilmestyessä, ja tummemmat viivat näyttävät, missä se viimeksi nähtiin. Sininen nuoli näyttää meteorin näkyvän lennon.

static map
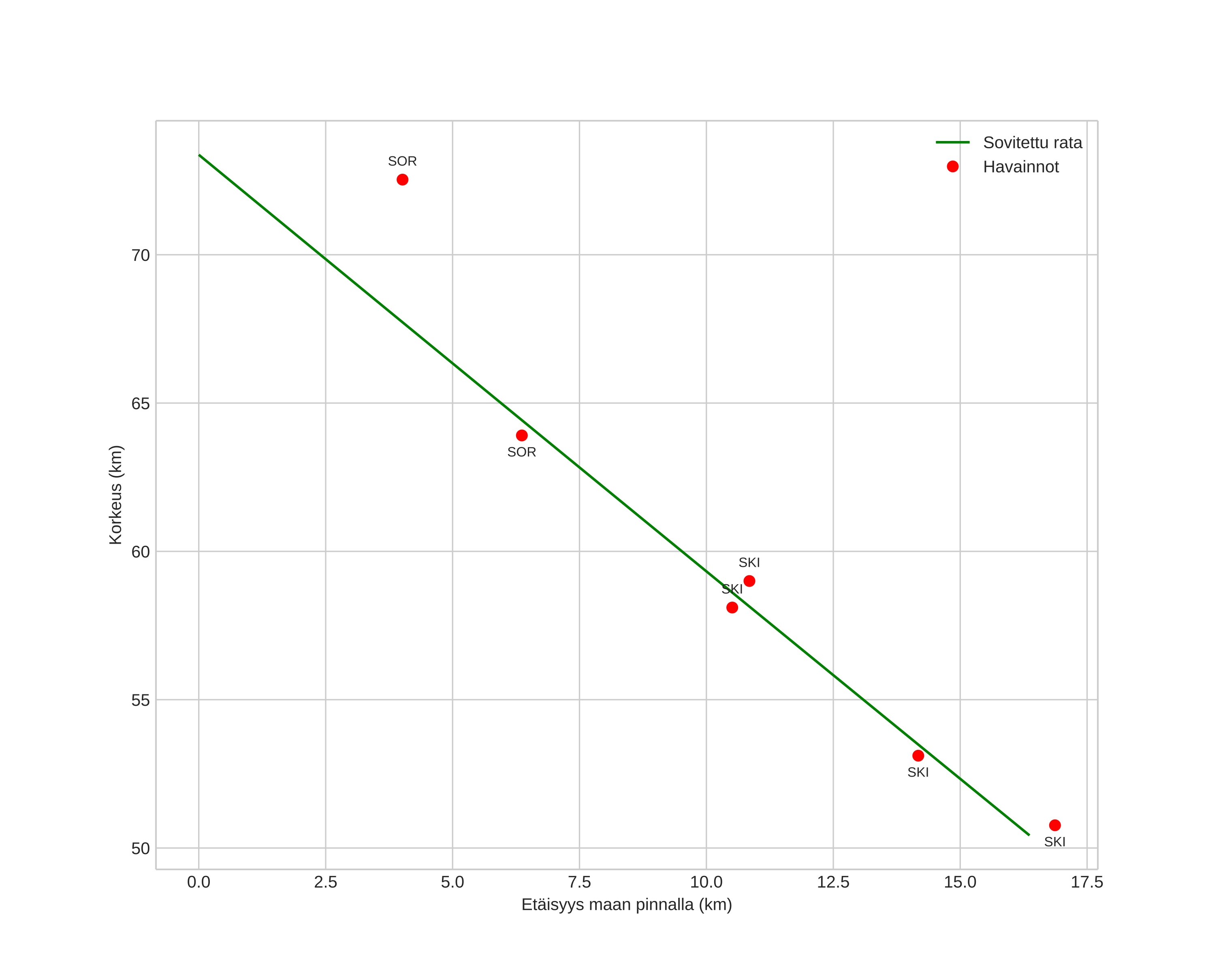
height profile
Meteorin ilmakehärata:
Alkukorkeus: 77,5 km
Loppukorkeus: 52,2 km
Alkupiste: 69,146N 20,737E
Loppupiste: 69,203N 21,090E
Suunta: 65,4°
Kallistuskulma: 58,8°
Tulonopeus: 15,5 km/s
Radiantin R,A,: 21:50 (327,5°)
Radiantin Dekl,: 40,7°
Meteoriparvi: Sporadinen
Meteoroidin rataelementit:
Perihelietäisyys: 0,903 AU
Eksentrisyys: 0,344
Inklinaatio: 14,7°
Nousevan solmun pituus: 185,7°
Perihelin argumentti: 232,1°
Keskianomalia: 334,3°
Epookki: 2021 SEP 28 23:04:36
orbit plot

Ei-interaktiivinen kuvaaja | Interaktiivinen kuvaaja

position vs time
speed and acceleration