🇳🇴 🇬🇧 🇩🇪 🇨🇿 🇫🇮

Meteor, poloha: Kiruna 2021-09-28 23:43:35 UTC

Soubor KML  |  InteraktivnĂ­ mapa

Mapa zobrazuje dráhy meteoru. Světlejší čáry ukazují směry od pozorovacích stanic při objevení se meteoru a tmavší čáry, kde byl naposledy viděn. Modrá šipka značí viditelnou dráhu meteoru.

static map
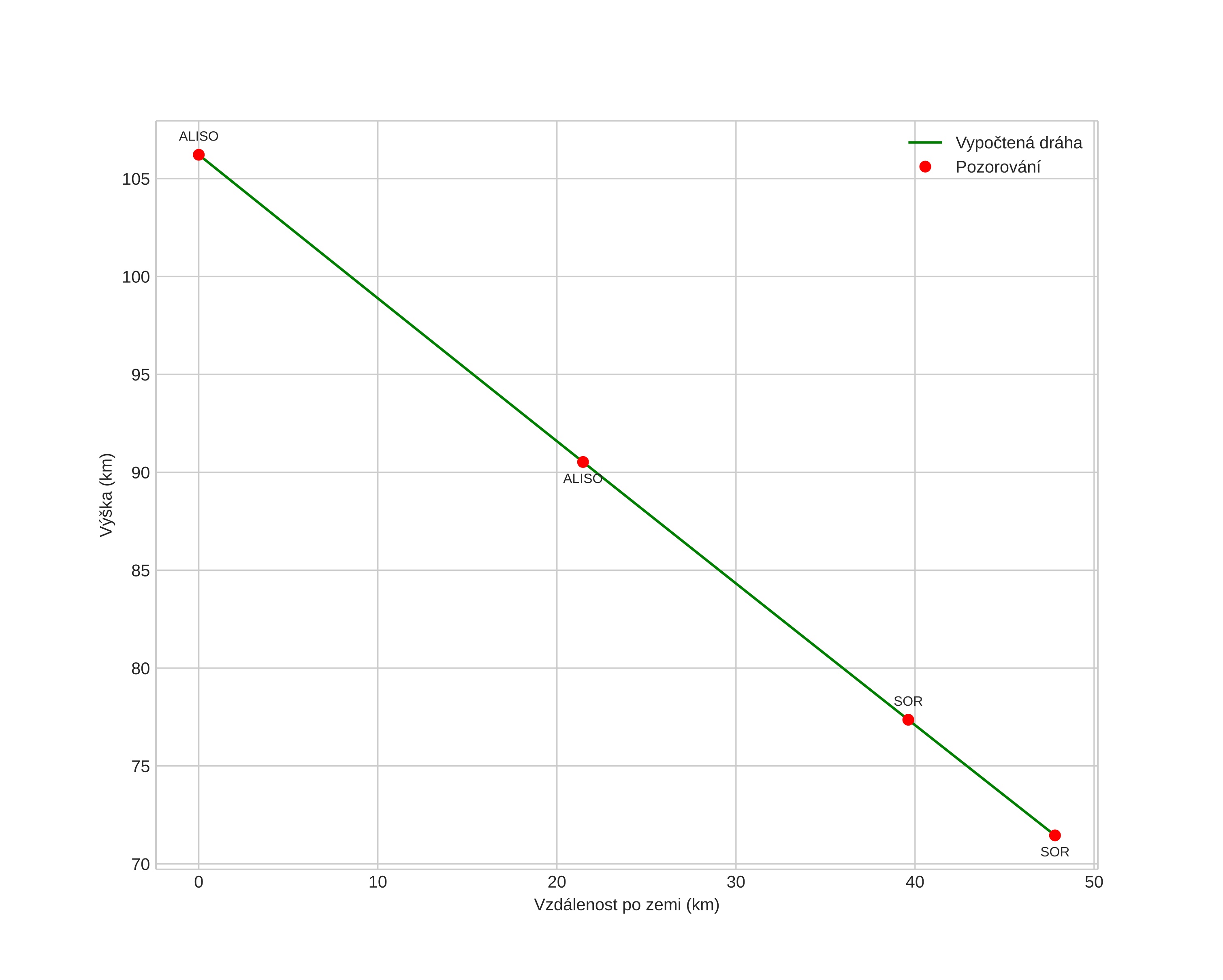
height profile
Atmosférická dráha meteoru:
Počáteční výška: 107,6 km
Konečná výška: 72,5 km
Počáteční poloha: 67,510N 19,215E
Konečná poloha: 67,923N 19,551E
Směr: 17,0°
Sklon: 36,1°
VstupnĂ­ rychlost: 19,1 km/s
Rektascenze radiantu: 00:29 (7,4°)
Deklinace radiantu: 8,4°
MeteorickĂ˝ roj: sporadickĂ˝
Elementy dráhy meteoroidu:
Vzdálenost v periheliu: 0,606 AU
Excentricita: 0,524
Sklon dráhy: 2,6°
Délka vzestupného uzlu: 185,8°
Argument perihelia: 278,6°
Střední anomálie: 321,4°
Epocha: 2021 SEP 28 23:43:35
orbit plot

NeinteraktivnĂ­ graf | InteraktivnĂ­ graf

position vs time
speed and acceleration