🇳🇴 🇬🇧 🇩🇪 🇨🇿 🇫🇮

Meteor Kirunan yllä 2021-09-28 23:43:35 UTC

KML-tiedosto  |  Interaktiivinen kartta

Kartta näyttää meteorin suuntahavainnot. Vaaleammat viivat näyttävät suunnat havaintoasemilta meteorin ilmestyessä, ja tummemmat viivat näyttävät, missä se viimeksi nähtiin. Sininen nuoli näyttää meteorin näkyvän lennon.

static map
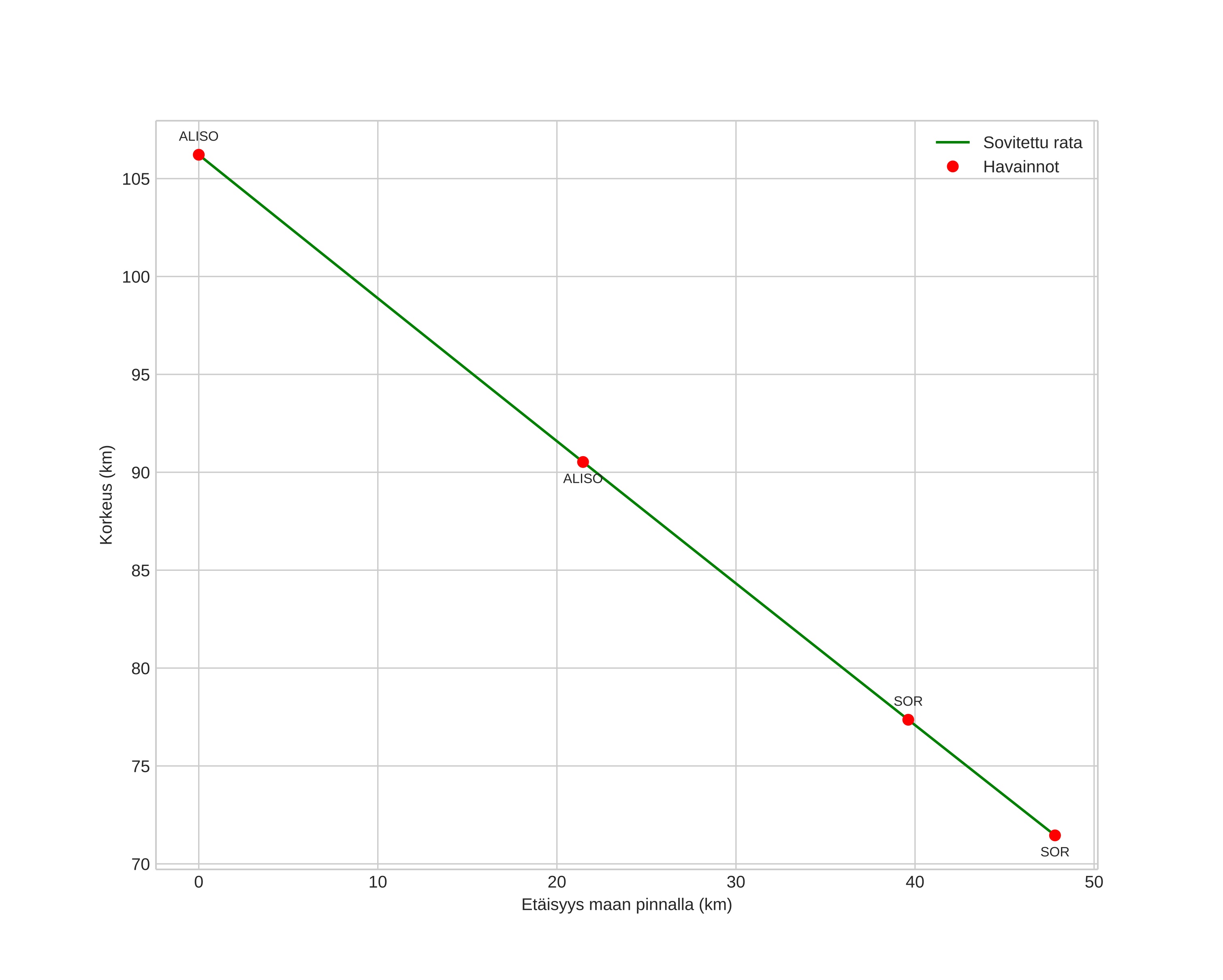
height profile
Meteorin ilmakehärata:
Alkukorkeus: 107,6 km
Loppukorkeus: 72,5 km
Alkupiste: 67,510N 19,215E
Loppupiste: 67,923N 19,551E
Suunta: 17,0°
Kallistuskulma: 36,1°
Tulonopeus: 19,1 km/s
Radiantin R,A,: 00:29 (7,4°)
Radiantin Dekl,: 8,4°
Meteoriparvi: Sporadinen
Meteoroidin rataelementit:
Perihelietäisyys: 0,606 AU
Eksentrisyys: 0,524
Inklinaatio: 2,6°
Nousevan solmun pituus: 185,8°
Perihelin argumentti: 278,6°
Keskianomalia: 321,4°
Epookki: 2021 SEP 28 23:43:35
orbit plot

Ei-interaktiivinen kuvaaja | Interaktiivinen kuvaaja

position vs time
speed and acceleration