🇳🇴 🇬🇧 🇩🇪 🇨🇿 🇫🇮

Meteor, poloha: Setermoen 2021-10-04 21:36:03 UTC

Soubor KML  |  InteraktivnĂ­ mapa

Mapa zobrazuje dráhy meteoru. Světlejší čáry ukazují směry od pozorovacích stanic při objevení se meteoru a tmavší čáry, kde byl naposledy viděn. Modrá šipka značí viditelnou dráhu meteoru.

static map
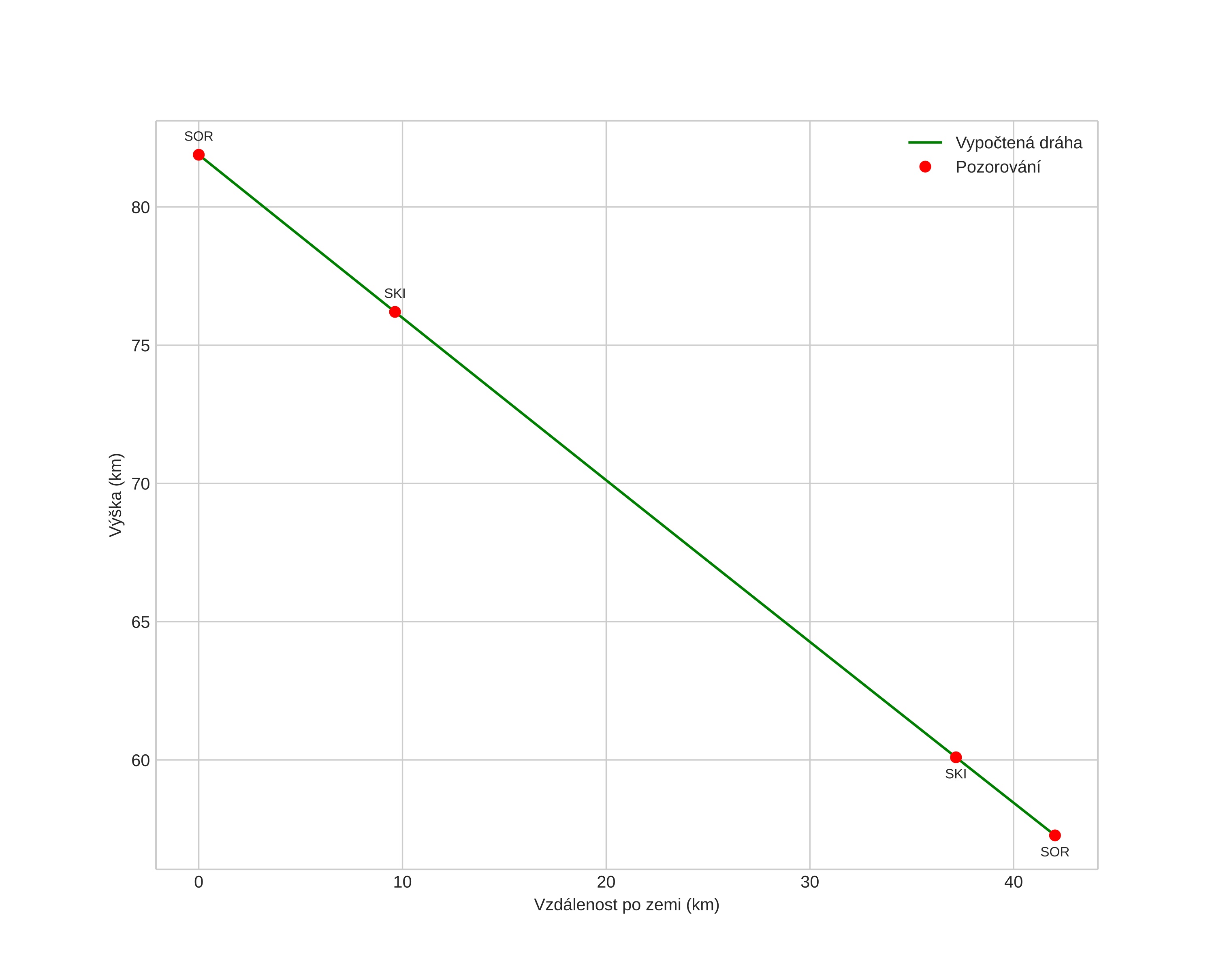
height profile
Atmosférická dráha meteoru:
Počáteční výška: 84,1 km
Konečná výška: 57,3 km
Počáteční poloha: 68,338N 17,800E
Konečná poloha: 68,212N 18,800E
Směr: 108,3°
Sklon: 31,6°
VstupnĂ­ rychlost: 16,9 km/s
Rektascenze radiantu: 17:08 (257,2°)
Deklinace radiantu: 27,5°
MeteorickĂ˝ roj: sporadickĂ˝
Elementy dráhy meteoroidu:
Vzdálenost v periheliu: 0,989 AU
Excentricita: 0,673
Sklon dráhy: 15,0°
Délka vzestupného uzlu: 191,6°
Argument perihelia: 166,8°
Střední anomálie: 1,9°
Epocha: 2021 OCT 04 21:36:03
orbit plot

NeinteraktivnĂ­ graf | InteraktivnĂ­ graf

position vs time
speed and acceleration