🇳🇴 🇬🇧 🇩🇪 🇨🇿 🇫🇮

Meteor Setermoenin yllä 2021-10-04 21:36:03 UTC

KML-tiedosto  |  Interaktiivinen kartta

Kartta näyttää meteorin suuntahavainnot. Vaaleammat viivat näyttävät suunnat havaintoasemilta meteorin ilmestyessä, ja tummemmat viivat näyttävät, missä se viimeksi nähtiin. Sininen nuoli näyttää meteorin näkyvän lennon.

static map
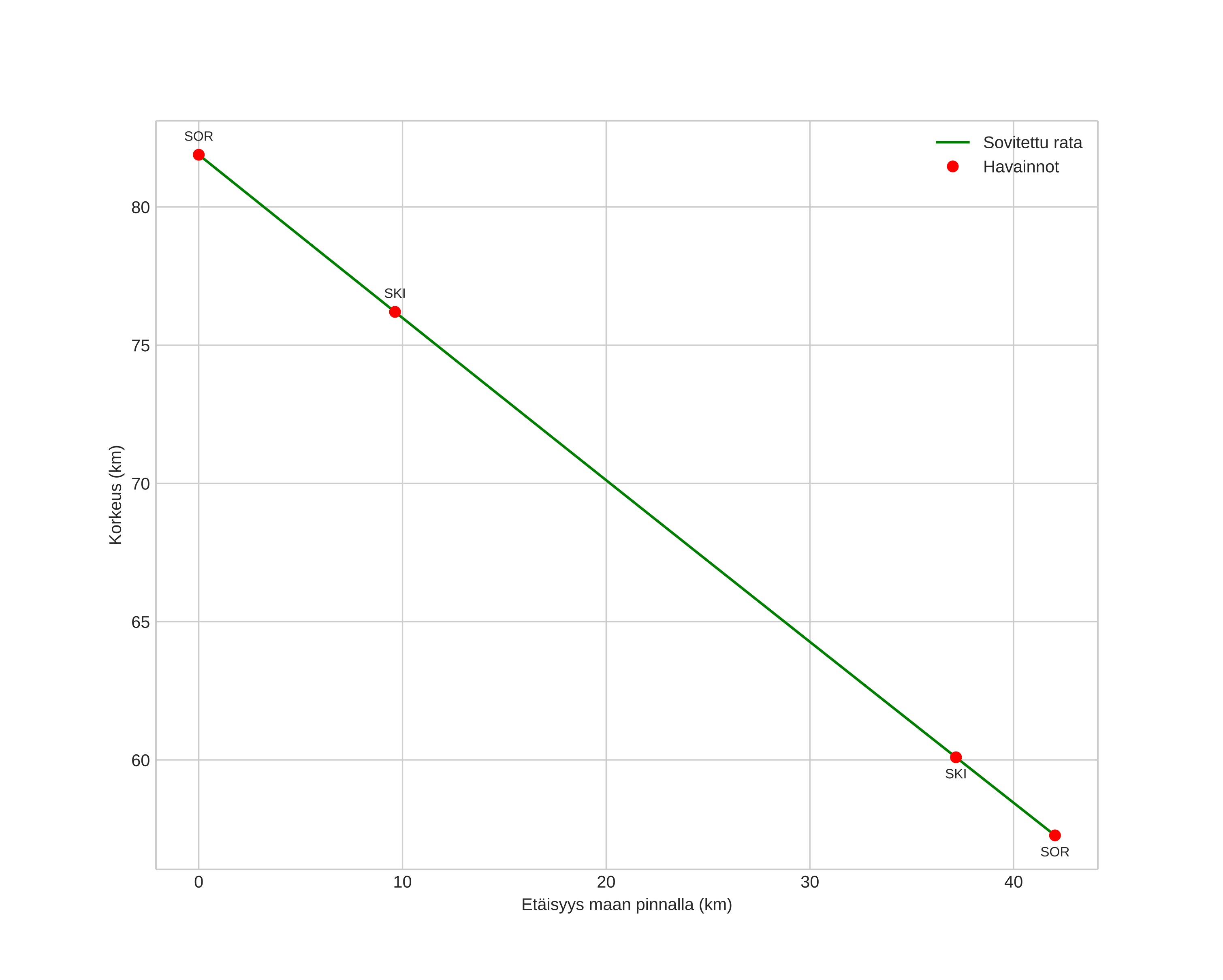
height profile
Meteorin ilmakehärata:
Alkukorkeus: 84,1 km
Loppukorkeus: 57,3 km
Alkupiste: 68,338N 17,800E
Loppupiste: 68,212N 18,800E
Suunta: 108,3°
Kallistuskulma: 31,6°
Tulonopeus: 16,9 km/s
Radiantin R,A,: 17:08 (257,2°)
Radiantin Dekl,: 27,5°
Meteoriparvi: Sporadinen
Meteoroidin rataelementit:
Perihelietäisyys: 0,989 AU
Eksentrisyys: 0,673
Inklinaatio: 15,0°
Nousevan solmun pituus: 191,6°
Perihelin argumentti: 166,8°
Keskianomalia: 1,9°
Epookki: 2021 OCT 04 21:36:03
orbit plot

Ei-interaktiivinen kuvaaja | Interaktiivinen kuvaaja

position vs time
speed and acceleration