Meteor, poloha: Rapla 2021-10-07 00:07:49 UTC    
        
            
        Mapa zobrazuje dráhy meteoru. Světlejší čáry ukazují směry od pozorovacích stanic při objevení se meteoru a tmavší čáry, kde byl naposledy viděn. Modrá šipka značí viditelnou dráhu meteoru.
        
        Neinteraktivní mapa | Soubor KML
       
                  
           
    
        
      
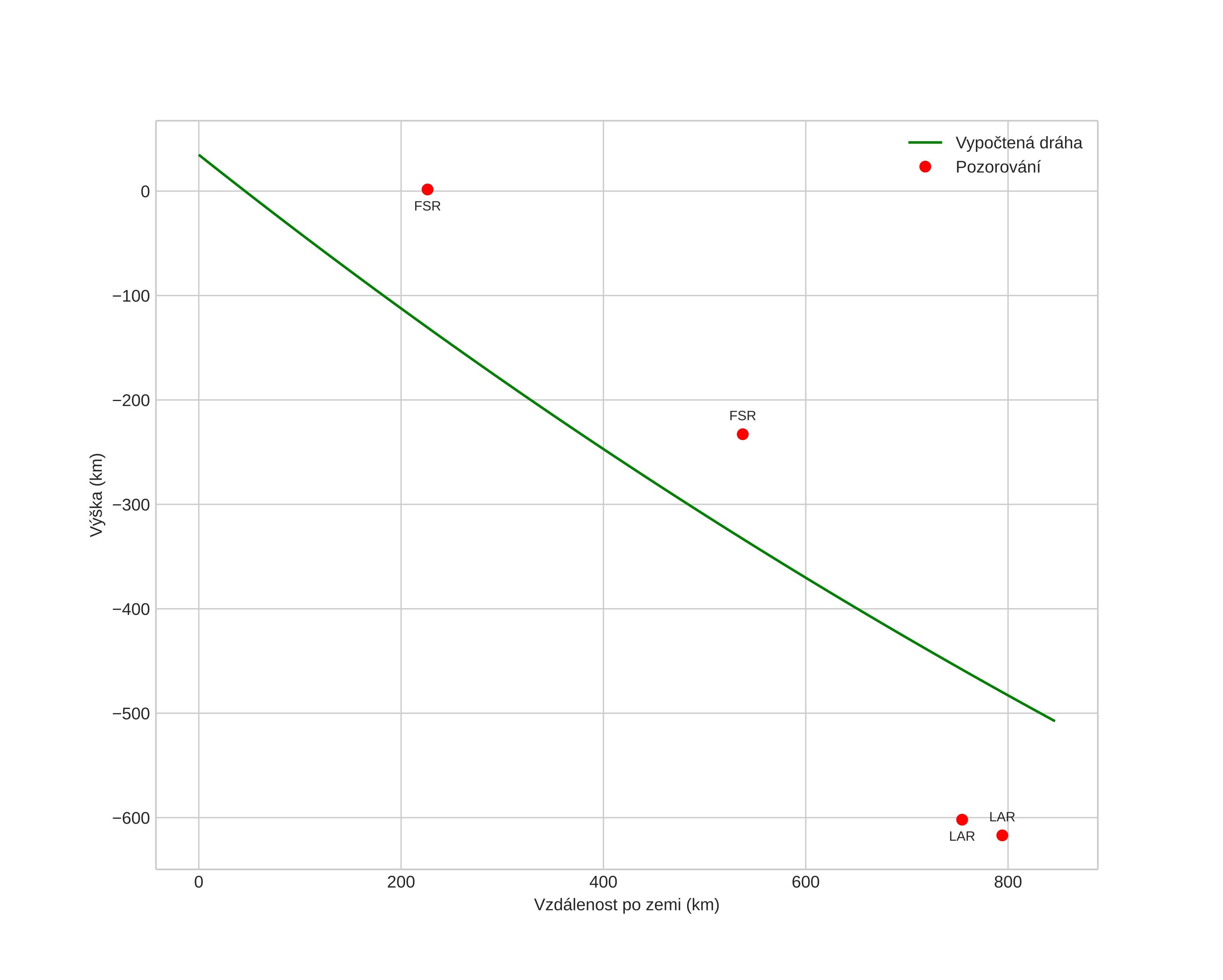
Atmosférická dráha meteoru: 
    | Počáteční výška: |  34,8 km |  
    | Konečná výška: |  -507,7 km |  
    | Počáteční poloha: |  56,745N 10,991E |  
    | Konečná poloha: |  58,931N 24,718E |  
    | Směr: |  67,6° |  
    | Sklon: |  32,7° |  
    | Vstupní rychlost: |  8,0 km/s |  
 
 | 
 |