Meteor über Rapla 2021-10-07 00:07:49 UTC    
        
            
        Die Karte zeigt die Peilungen für den Meteor. Die helleren Linien zeigen die Richtungen von den Beobachtungsorten beim Erscheinen des Meteors, und die dunkleren Linien, wo er zuletzt gesehen wurde. Der blaue Pfeil zeigt die sichtbare Bahn des Meteors.
        
        Nicht-interaktive Karte | KML-Datei
       
                  
           
    
        
      
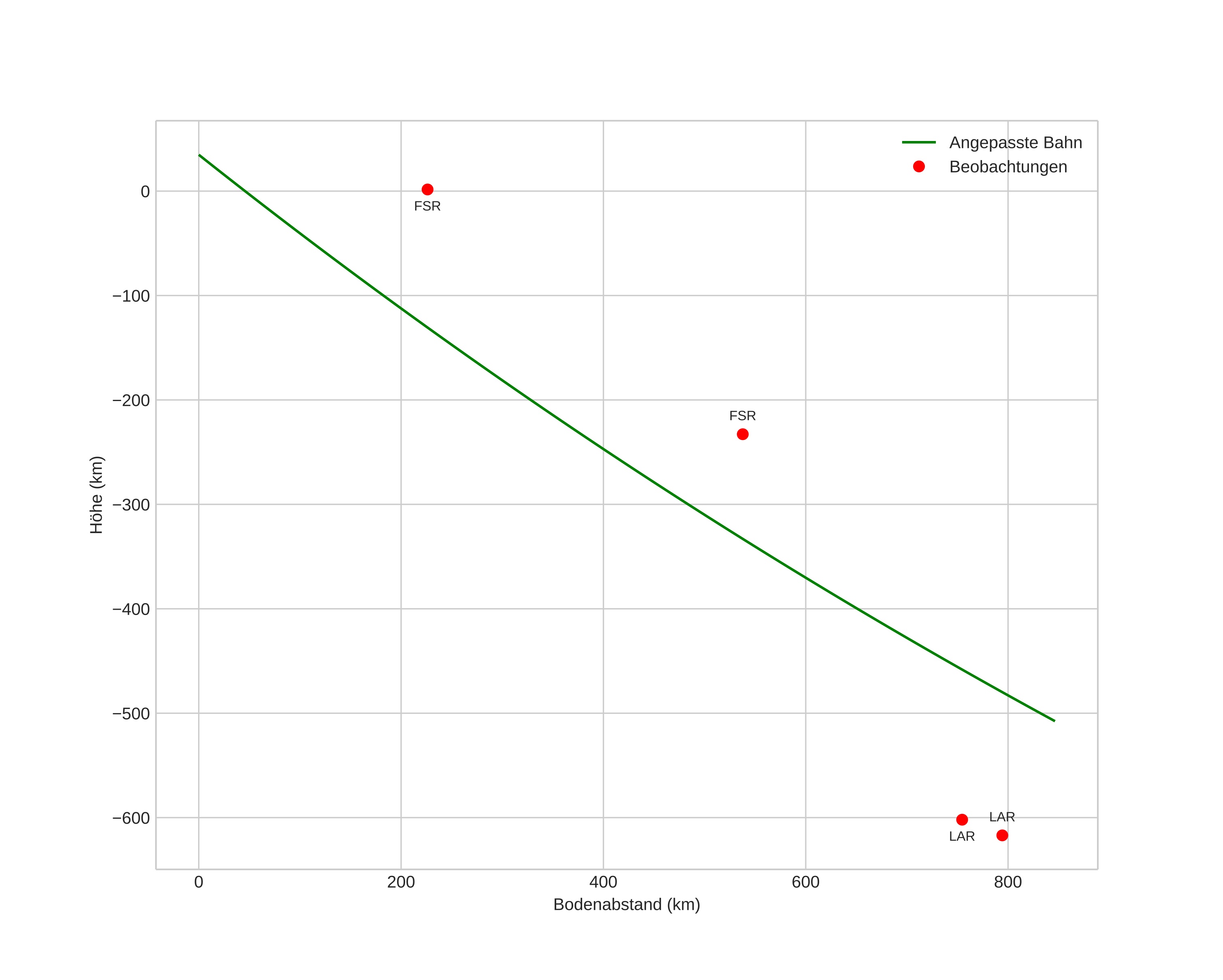
Atmosphärische Bahn des Meteors: 
    | Anfangshöhe: |  34,8 km |  
    | Endhöhe: |  -507,7 km |  
    | Startposition: |  56,745N 10,991E |  
    | Endposition: |  58,931N 24,718E |  
    | Richtung: |  67,6° |  
    | Neigungswinkel: |  32,7° |  
    | Eintrittsgeschwindigkeit: |  8,0 km/s |  
 
 | 
 |