🇳🇴 🇬🇧 🇩🇪 🇨🇿 🇫🇮

Meteor, poloha: Töcksfors 2021-10-11 02:41:35 UTC

Soubor KML  |  InteraktivnĂ­ mapa

Mapa zobrazuje dráhy meteoru. Světlejší čáry ukazují směry od pozorovacích stanic při objevení se meteoru a tmavší čáry, kde byl naposledy viděn. Modrá šipka značí viditelnou dráhu meteoru.

static map
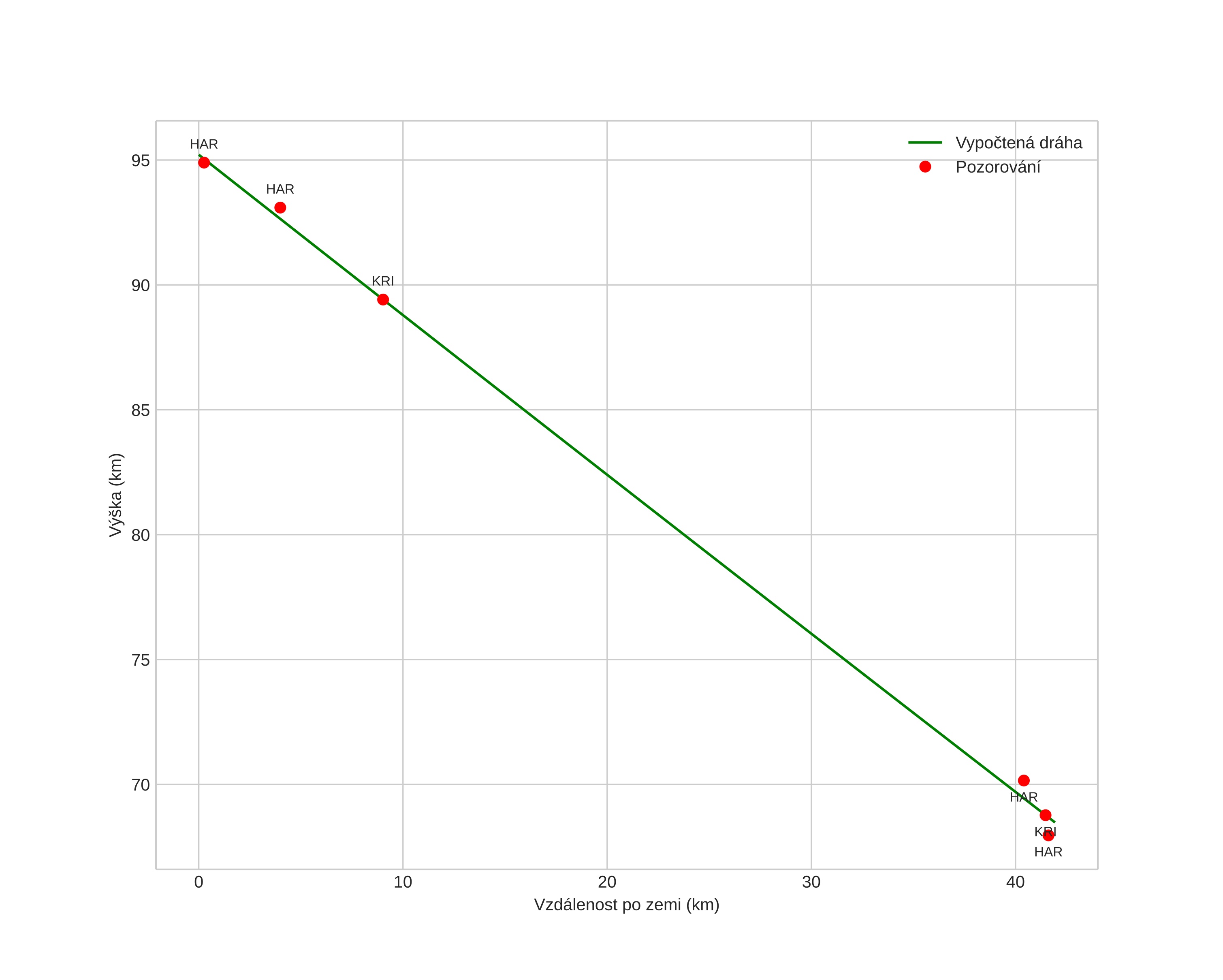
height profile
Atmosférická dráha meteoru:
Počáteční výška: 95,2 km
Konečná výška: 68,0 km
Počáteční poloha: 59,153N 11,253E
Konečná poloha: 59,415N 11,785E
Směr: 45,8°
Sklon: 32,9°
VstupnĂ­ rychlost: 31,0 km/s
Rektascenze radiantu: 02:10 (32,5°)
Deklinace radiantu: 7,4°
MeteorickĂ˝ roj: JiĹľnĂ­ Tauridy
Elementy dráhy meteoroidu:
Vzdálenost v periheliu: 0,307 AU
Excentricita: 0,840
Sklon dráhy: 7,0°
Délka vzestupného uzlu: 17,7°
Argument perihelia: 121,2°
Střední anomálie: 344,4°
Epocha: 2021 OCT 11 02:41:35
orbit plot

NeinteraktivnĂ­ graf | InteraktivnĂ­ graf

position vs time
speed and acceleration