🇳🇴 🇬🇧 🇩🇪 🇨🇿 🇫🇮

Meteor Töcksforsin yllä 2021-10-11 02:41:35 UTC

KML-tiedosto  |  Interaktiivinen kartta

Kartta näyttää meteorin suuntahavainnot. Vaaleammat viivat näyttävät suunnat havaintoasemilta meteorin ilmestyessä, ja tummemmat viivat näyttävät, missä se viimeksi nähtiin. Sininen nuoli näyttää meteorin näkyvän lennon.

static map
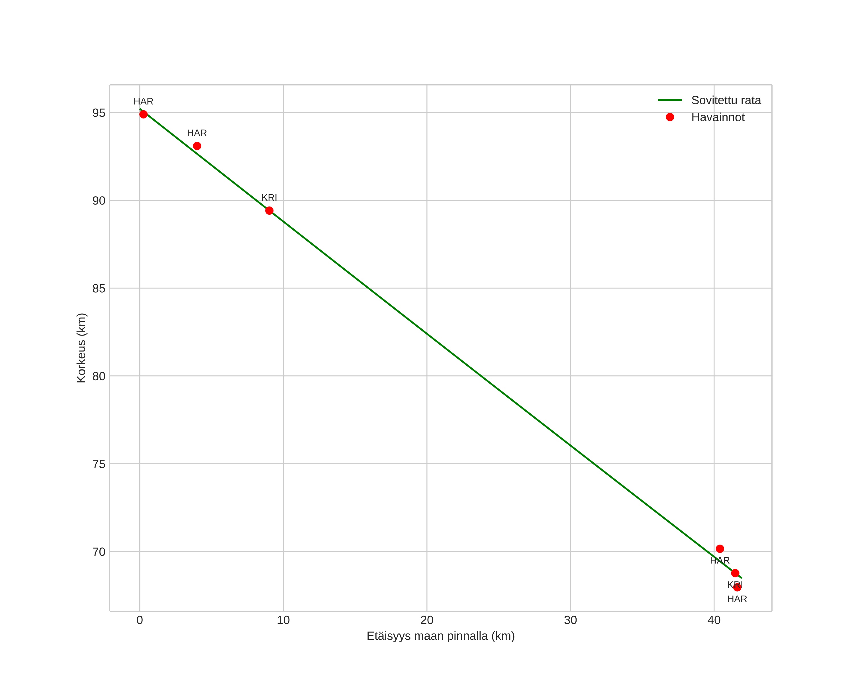
height profile
Meteorin ilmakehärata:
Alkukorkeus: 95,2 km
Loppukorkeus: 68,0 km
Alkupiste: 59,153N 11,253E
Loppupiste: 59,415N 11,785E
Suunta: 45,8°
Kallistuskulma: 32,9°
Tulonopeus: 31,0 km/s
Radiantin R,A,: 02:10 (32,5°)
Radiantin Dekl,: 7,4°
Meteoriparvi: Eteläiset tauridit
Meteoroidin rataelementit:
Perihelietäisyys: 0,307 AU
Eksentrisyys: 0,840
Inklinaatio: 7,0°
Nousevan solmun pituus: 17,7°
Perihelin argumentti: 121,2°
Keskianomalia: 344,4°
Epookki: 2021 OCT 11 02:41:35
orbit plot

Ei-interaktiivinen kuvaaja | Interaktiivinen kuvaaja

position vs time
speed and acceleration