🇳🇴 🇬🇧 🇩🇪 🇨🇿 🇫🇮

Meteor, poloha: Harboøre 2021-10-11 04:12:56 UTC

Soubor KML  |  InteraktivnĂ­ mapa

Mapa zobrazuje dráhy meteoru. Světlejší čáry ukazují směry od pozorovacích stanic při objevení se meteoru a tmavší čáry, kde byl naposledy viděn. Modrá šipka značí viditelnou dráhu meteoru.

static map
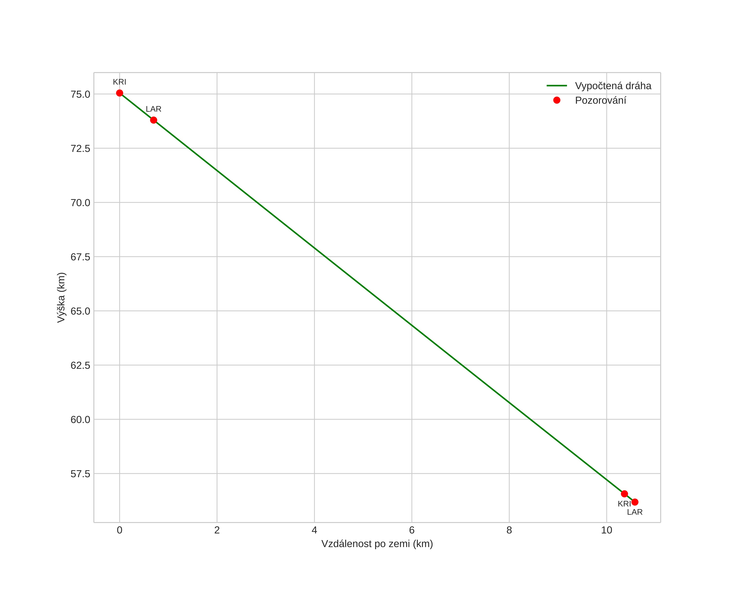
height profile
Atmosférická dráha meteoru:
Počáteční výška: 70,9 km
Konečná výška: 53,0 km
Počáteční poloha: 56,828N 7,133E
Konečná poloha: 56,818N 7,298E
Směr: 96,2°
Sklon: 60,6°
VstupnĂ­ rychlost: 19,9 km/s
Rektascenze radiantu: 02:29 (37,5°)
Deklinace radiantu: 47,1°
MeteorickĂ˝ roj: sporadickĂ˝
Elementy dráhy meteoroidu:
Vzdálenost v periheliu: 0,412 AU
Excentricita: 0,503
Sklon dráhy: 21,1°
Délka vzestupného uzlu: 197,8°
Argument perihelia: 318,9°
Střední anomálie: 272,6°
Epocha: 2021 OCT 11 04:12:56
orbit plot

NeinteraktivnĂ­ graf | InteraktivnĂ­ graf

position vs time
speed and acceleration