🇳🇴 🇬🇧 🇩🇪 🇨🇿 🇫🇮

Meteor Harboøren yllä 2021-10-11 04:12:56 UTC

KML-tiedosto  |  Interaktiivinen kartta

Kartta näyttää meteorin suuntahavainnot. Vaaleammat viivat näyttävät suunnat havaintoasemilta meteorin ilmestyessä, ja tummemmat viivat näyttävät, missä se viimeksi nähtiin. Sininen nuoli näyttää meteorin näkyvän lennon.

static map
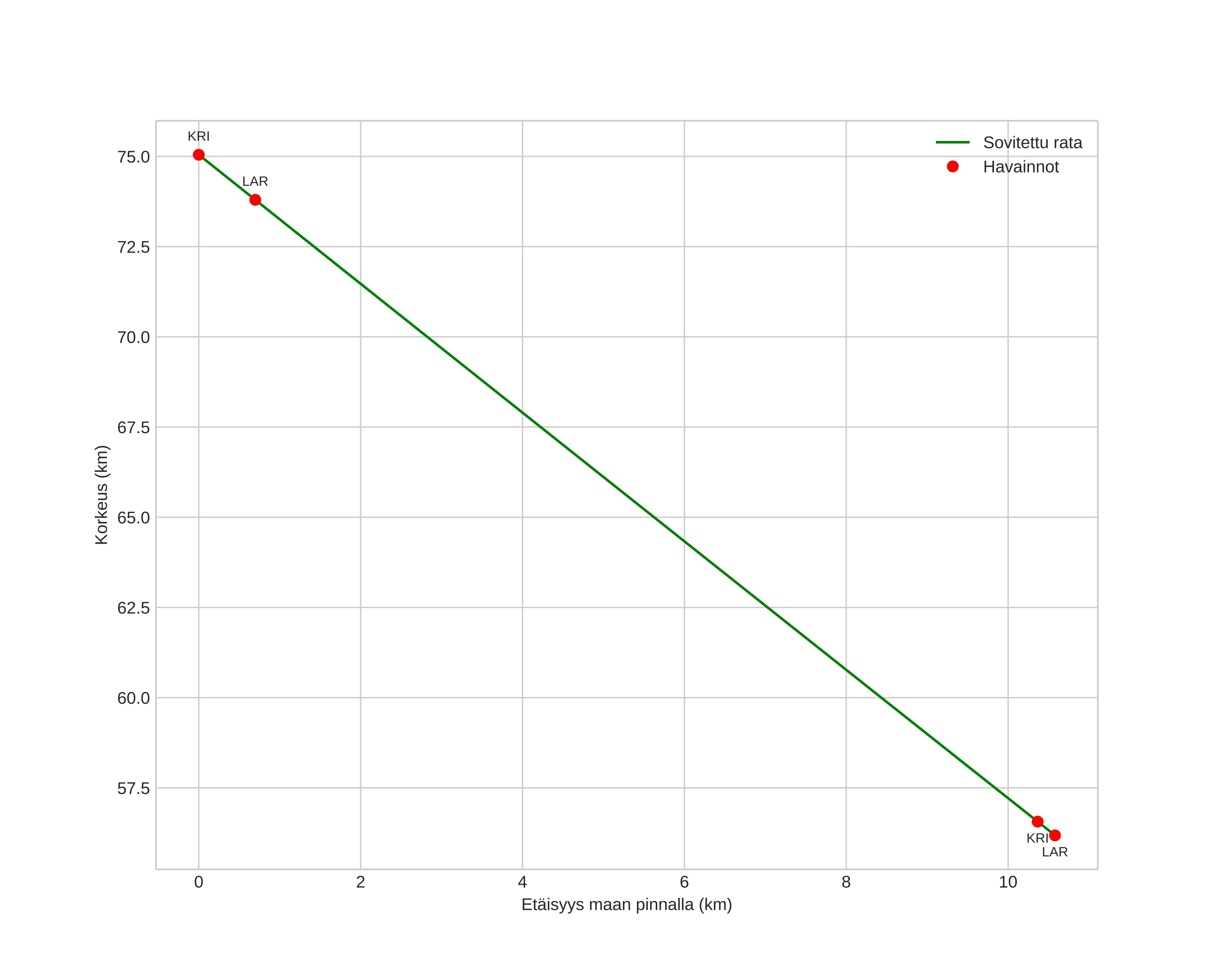
height profile
Meteorin ilmakehärata:
Alkukorkeus: 70,9 km
Loppukorkeus: 53,0 km
Alkupiste: 56,828N 7,133E
Loppupiste: 56,818N 7,298E
Suunta: 96,2°
Kallistuskulma: 60,6°
Tulonopeus: 19,9 km/s
Radiantin R,A,: 02:29 (37,5°)
Radiantin Dekl,: 47,1°
Meteoriparvi: Sporadinen
Meteoroidin rataelementit:
Perihelietäisyys: 0,412 AU
Eksentrisyys: 0,503
Inklinaatio: 21,1°
Nousevan solmun pituus: 197,8°
Perihelin argumentti: 318,9°
Keskianomalia: 272,6°
Epookki: 2021 OCT 11 04:12:56
orbit plot

Ei-interaktiivinen kuvaaja | Interaktiivinen kuvaaja

position vs time
speed and acceleration