🇳🇴 🇬🇧 🇩🇪 🇨🇿 🇫🇮

Meteor, poloha: Stavern 2021-10-16 21:59:16 UTC

Soubor KML  |  InteraktivnĂ­ mapa

Mapa zobrazuje dráhy meteoru. Světlejší čáry ukazují směry od pozorovacích stanic při objevení se meteoru a tmavší čáry, kde byl naposledy viděn. Modrá šipka značí viditelnou dráhu meteoru.

static map
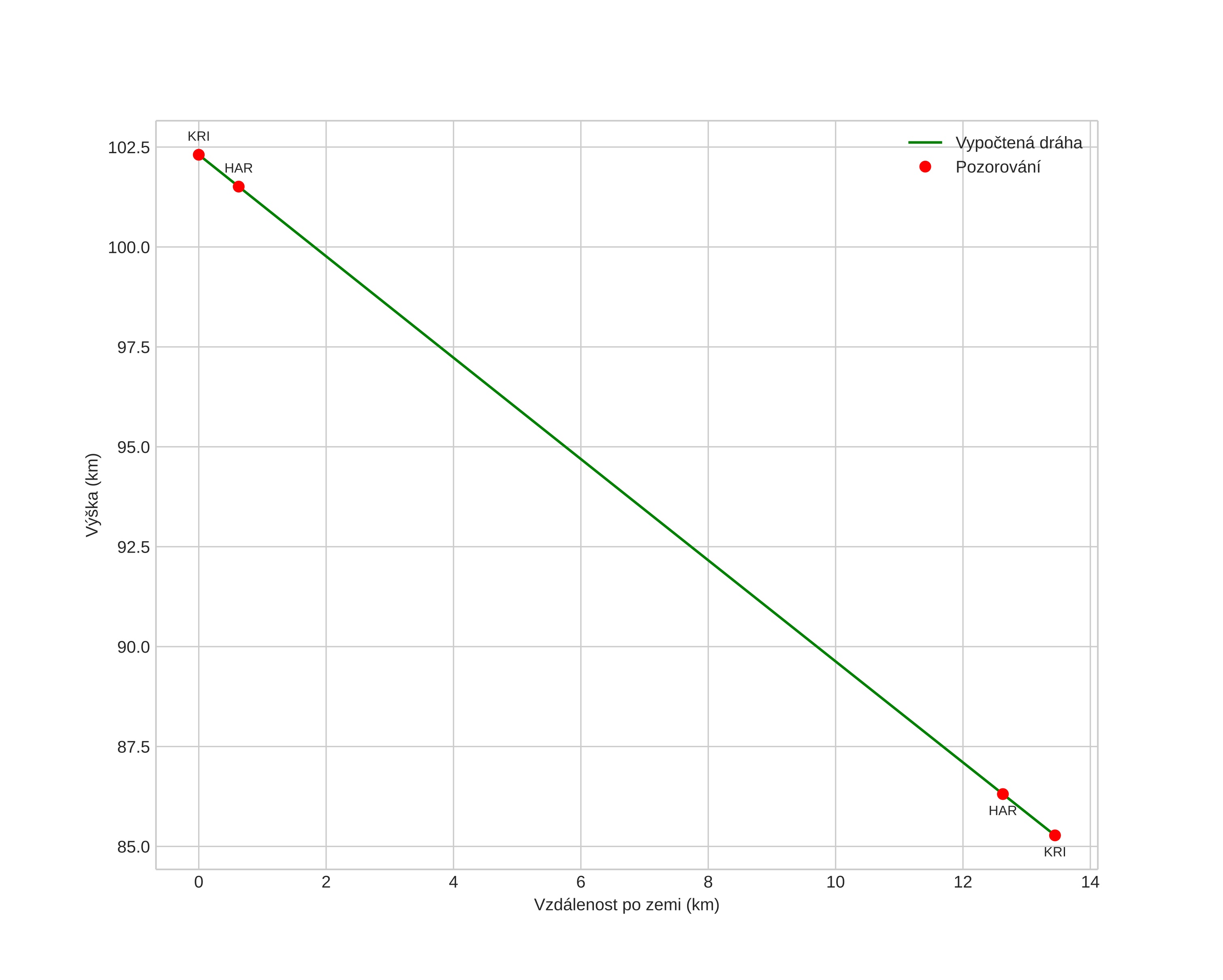
height profile
Atmosférická dráha meteoru:
Počáteční výška: 101,3 km
Konečná výška: 85,6 km
Počáteční poloha: 58,541N 9,971E
Konečná poloha: 58,487N 10,151E
Směr: 119,8°
Sklon: 52,6°
VstupnĂ­ rychlost: 19,8 km/s
Rektascenze radiantu: 19:06 (286,5°)
Deklinace radiantu: 53,7°
MeteorickĂ˝ roj: sporadickĂ˝
Elementy dráhy meteoroidu:
Vzdálenost v periheliu: 0,994 AU
Excentricita: 0,592
Sklon dráhy: 25,2°
Délka vzestupného uzlu: 203,5°
Argument perihelia: 187,1°
Střední anomálie: 358,5°
Epocha: 2021 OCT 16 21:59:16
orbit plot

NeinteraktivnĂ­ graf | InteraktivnĂ­ graf

position vs time
speed and acceleration