🇳🇴 🇬🇧 🇩🇪 🇨🇿 🇫🇮

Meteor Stavernin yllä 2021-10-16 21:59:16 UTC

KML-tiedosto  |  Interaktiivinen kartta

Kartta näyttää meteorin suuntahavainnot. Vaaleammat viivat näyttävät suunnat havaintoasemilta meteorin ilmestyessä, ja tummemmat viivat näyttävät, missä se viimeksi nähtiin. Sininen nuoli näyttää meteorin näkyvän lennon.

static map
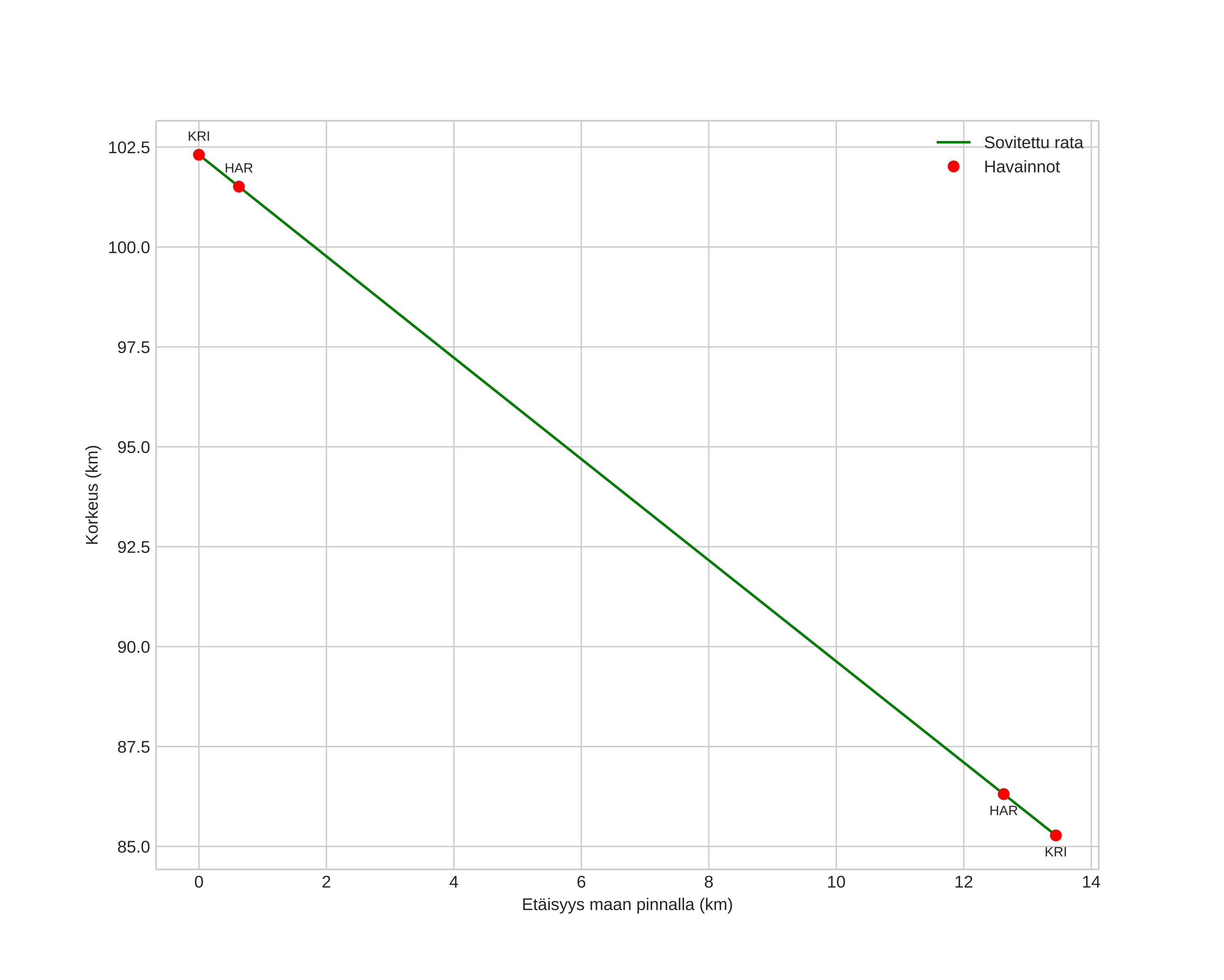
height profile
Meteorin ilmakehärata:
Alkukorkeus: 101,3 km
Loppukorkeus: 85,6 km
Alkupiste: 58,541N 9,971E
Loppupiste: 58,487N 10,151E
Suunta: 119,8°
Kallistuskulma: 52,6°
Tulonopeus: 19,8 km/s
Radiantin R,A,: 19:06 (286,5°)
Radiantin Dekl,: 53,7°
Meteoriparvi: Sporadinen
Meteoroidin rataelementit:
Perihelietäisyys: 0,994 AU
Eksentrisyys: 0,592
Inklinaatio: 25,2°
Nousevan solmun pituus: 203,5°
Perihelin argumentti: 187,1°
Keskianomalia: 358,5°
Epookki: 2021 OCT 16 21:59:16
orbit plot

Ei-interaktiivinen kuvaaja | Interaktiivinen kuvaaja

position vs time
speed and acceleration