🇳🇴 🇬🇧 🇩🇪 🇨🇿 🇫🇮

Meteor, poloha: Lillehammer 2021-10-16 23:45:04 UTC

Soubor KML  |  InteraktivnĂ­ mapa

Mapa zobrazuje dráhy meteoru. Světlejší čáry ukazují směry od pozorovacích stanic při objevení se meteoru a tmavší čáry, kde byl naposledy viděn. Modrá šipka značí viditelnou dráhu meteoru.

static map
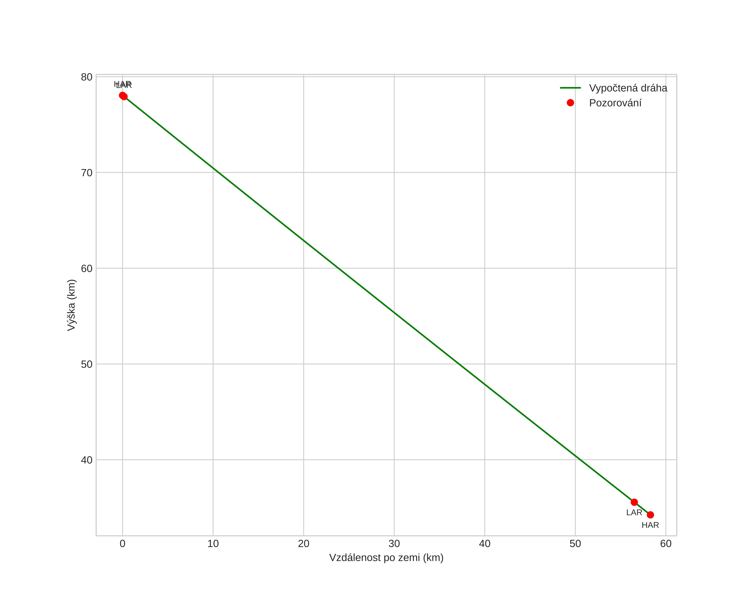
height profile
Atmosférická dráha meteoru:
Počáteční výška: 83,0 km
Konečná výška: 37,4 km
Počáteční poloha: 60,687N 9,638E
Konečná poloha: 61,100N 10,513E
Směr: 45,5°
Sklon: 34,7°
VstupnĂ­ rychlost: 16,8 km/s
Rektascenze radiantu: 23:22 (350,7°)
Deklinace radiantu: 4,2°
MeteorickĂ˝ roj: sporadickĂ˝
Elementy dráhy meteoroidu:
Vzdálenost v periheliu: 0,885 AU
Excentricita: 0,668
Sklon dráhy: 2,6°
Délka vzestupného uzlu: 203,5°
Argument perihelia: 224,0°
Střední anomálie: 352,9°
Epocha: 2021 OCT 16 23:45:04
orbit plot

NeinteraktivnĂ­ graf | InteraktivnĂ­ graf

position vs time
speed and acceleration