🇳🇴 🇬🇧 🇩🇪 🇨🇿 🇫🇮

Meteor Lillehammerin yllä 2021-10-16 23:45:04 UTC

KML-tiedosto  |  Interaktiivinen kartta

Kartta näyttää meteorin suuntahavainnot. Vaaleammat viivat näyttävät suunnat havaintoasemilta meteorin ilmestyessä, ja tummemmat viivat näyttävät, missä se viimeksi nähtiin. Sininen nuoli näyttää meteorin näkyvän lennon.

static map
height profile
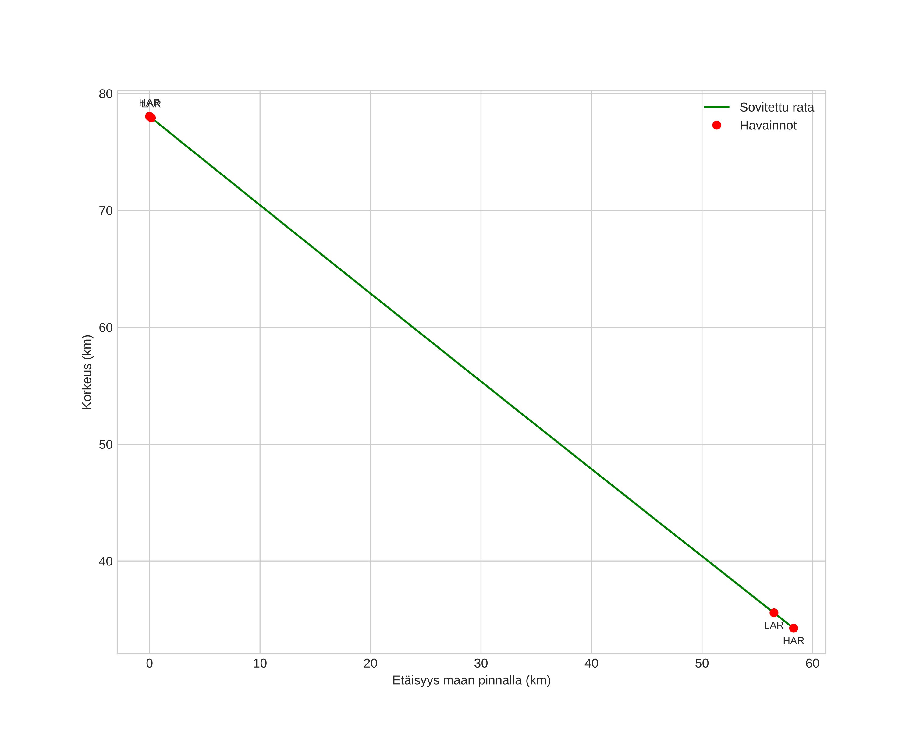
Meteorin ilmakehärata:
Alkukorkeus: 83,0 km
Loppukorkeus: 37,4 km
Alkupiste: 60,687N 9,638E
Loppupiste: 61,100N 10,513E
Suunta: 45,5°
Kallistuskulma: 34,7°
Tulonopeus: 16,8 km/s
Radiantin R,A,: 23:22 (350,7°)
Radiantin Dekl,: 4,2°
Meteoriparvi: Sporadinen
Meteoroidin rataelementit:
Perihelietäisyys: 0,885 AU
Eksentrisyys: 0,668
Inklinaatio: 2,6°
Nousevan solmun pituus: 203,5°
Perihelin argumentti: 224,0°
Keskianomalia: 352,9°
Epookki: 2021 OCT 16 23:45:04
orbit plot

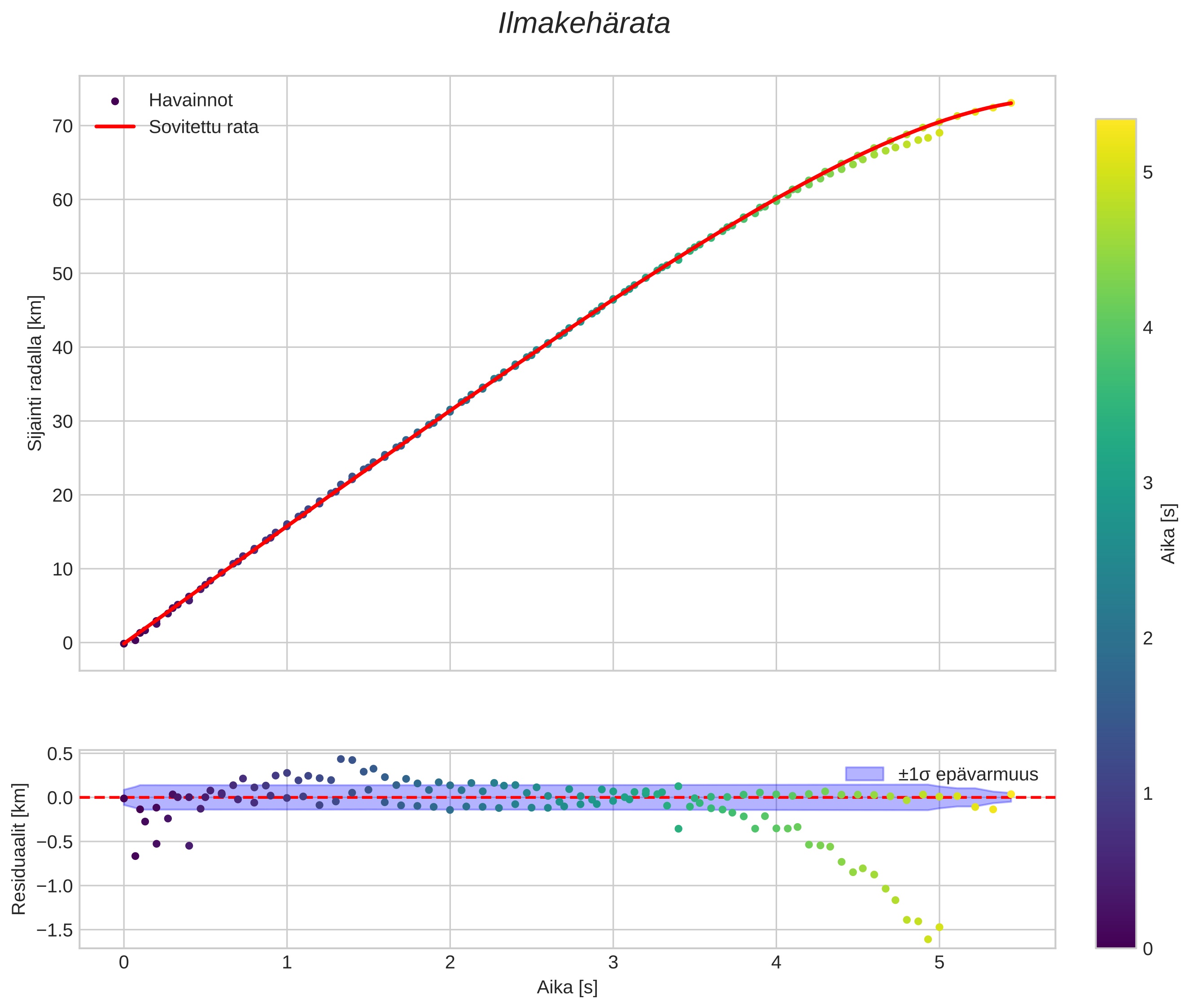
Ei-interaktiivinen kuvaaja | Interaktiivinen kuvaaja

position vs time
speed and acceleration