🇳🇴 🇬🇧 🇩🇪 🇨🇿 🇫🇮

Meteor, poloha: Aas 2021-10-16 23:59:37 UTC

Soubor KML  |  InteraktivnĂ­ mapa

Mapa zobrazuje dráhy meteoru. Světlejší čáry ukazují směry od pozorovacích stanic při objevení se meteoru a tmavší čáry, kde byl naposledy viděn. Modrá šipka značí viditelnou dráhu meteoru.

static map
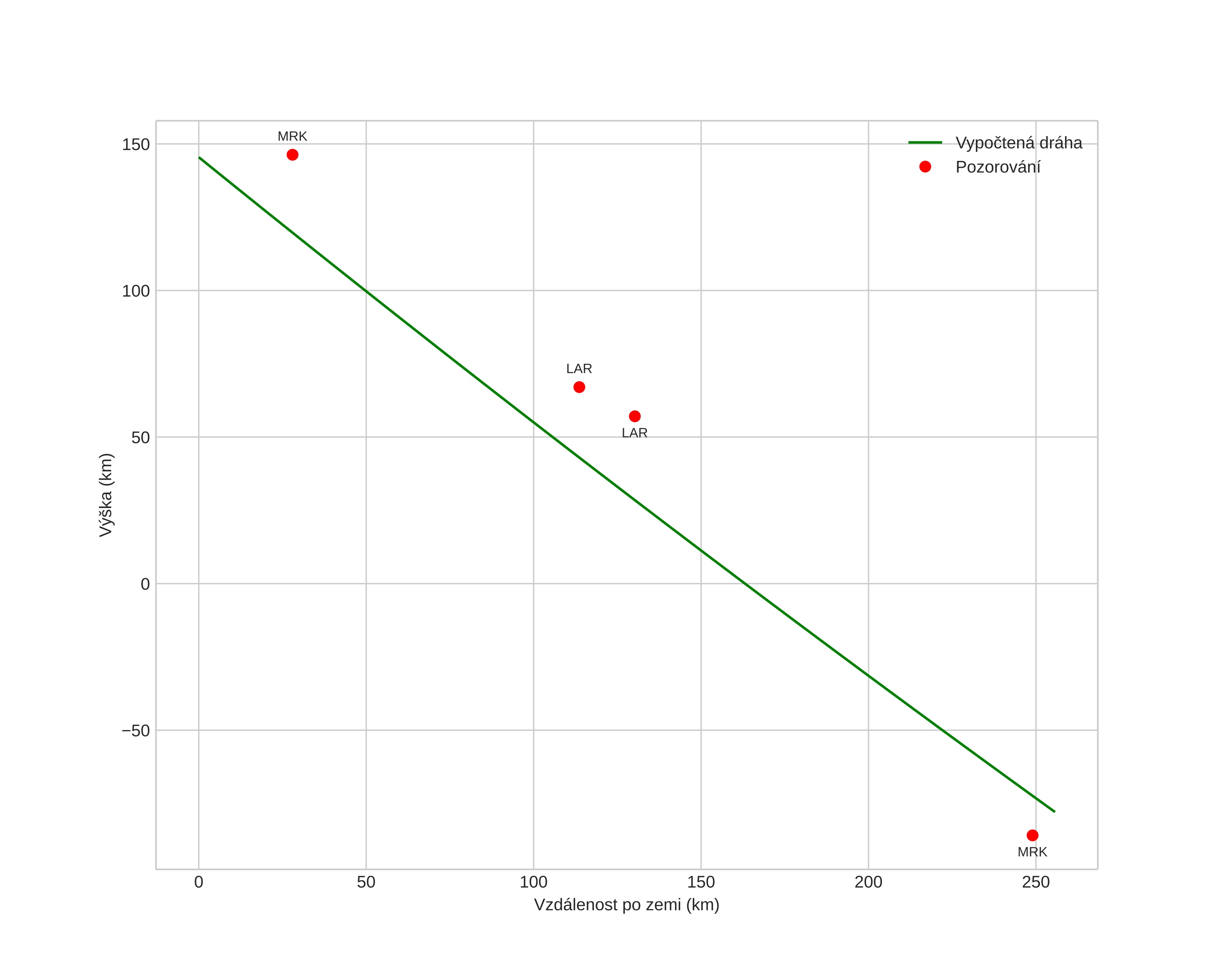
height profile
Atmosférická dráha meteoru:
Počáteční výška: 149,9 km
Konečná výška: -81,5 km
Počáteční poloha: 60,423N 12,480E
Konečná poloha: 62,813N 11,939E
Směr: 354,1°
Sklon: 40,9°
VstupnĂ­ rychlost: 48,5 km/s
Rektascenze radiantu: 02:48 (42,0°)
Deklinace radiantu: 10,6°
MeteorickĂ˝ roj: sporadickĂ˝
Elementy dráhy meteoroidu:
Vzdálenost v periheliu: 0,122 AU
Excentricita: 1,063
Sklon dráhy: 17,1°
Délka vzestupného uzlu: 23,5°
Argument perihelia: 134,6°
Střední anomálie: -10,7°
Epocha: 2021 OCT 16 23:59:37
orbit plot

NeinteraktivnĂ­ graf | InteraktivnĂ­ graf

position vs time
speed and acceleration