🇳🇴 🇬🇧 🇩🇪 🇨🇿 🇫🇮

Meteor Aasin yllä 2021-10-16 23:59:37 UTC

KML-tiedosto  |  Interaktiivinen kartta

Kartta näyttää meteorin suuntahavainnot. Vaaleammat viivat näyttävät suunnat havaintoasemilta meteorin ilmestyessä, ja tummemmat viivat näyttävät, missä se viimeksi nähtiin. Sininen nuoli näyttää meteorin näkyvän lennon.

static map
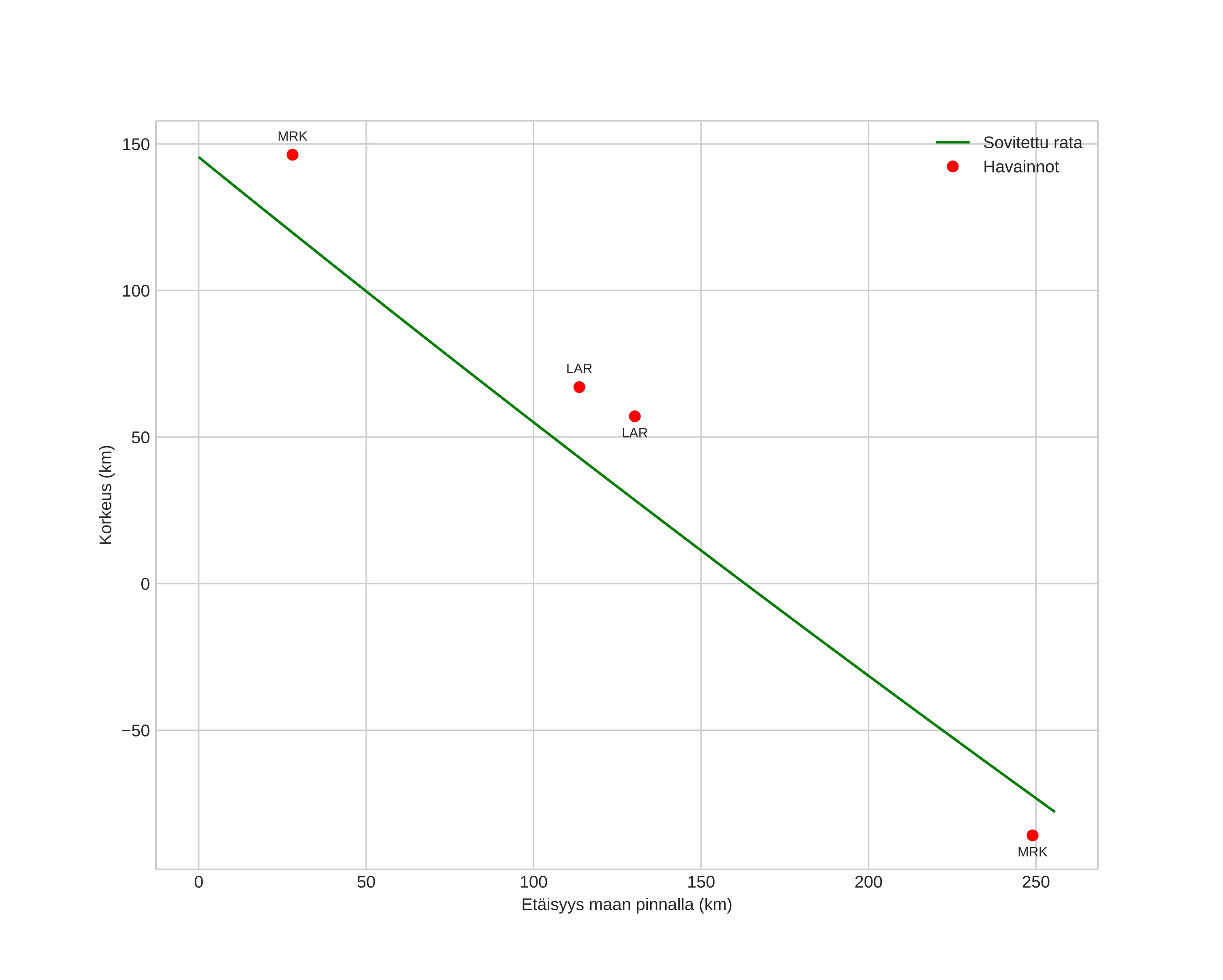
height profile
Meteorin ilmakehärata:
Alkukorkeus: 149,9 km
Loppukorkeus: -81,5 km
Alkupiste: 60,423N 12,480E
Loppupiste: 62,813N 11,939E
Suunta: 354,1°
Kallistuskulma: 40,9°
Tulonopeus: 48,5 km/s
Radiantin R,A,: 02:48 (42,0°)
Radiantin Dekl,: 10,6°
Meteoriparvi: Sporadinen
Meteoroidin rataelementit:
Perihelietäisyys: 0,122 AU
Eksentrisyys: 1,063
Inklinaatio: 17,1°
Nousevan solmun pituus: 23,5°
Perihelin argumentti: 134,6°
Keskianomalia: -10,7°
Epookki: 2021 OCT 16 23:59:37
orbit plot

Ei-interaktiivinen kuvaaja | Interaktiivinen kuvaaja

position vs time
speed and acceleration