🇳🇴 🇬🇧 🇩🇪 🇨🇿 🇫🇮

Meteor, poloha: Kristinehamn 2021-10-18 00:02:12 UTC

Soubor KML  |  InteraktivnĂ­ mapa

Mapa zobrazuje dráhy meteoru. Světlejší čáry ukazují směry od pozorovacích stanic při objevení se meteoru a tmavší čáry, kde byl naposledy viděn. Modrá šipka značí viditelnou dráhu meteoru.

static map
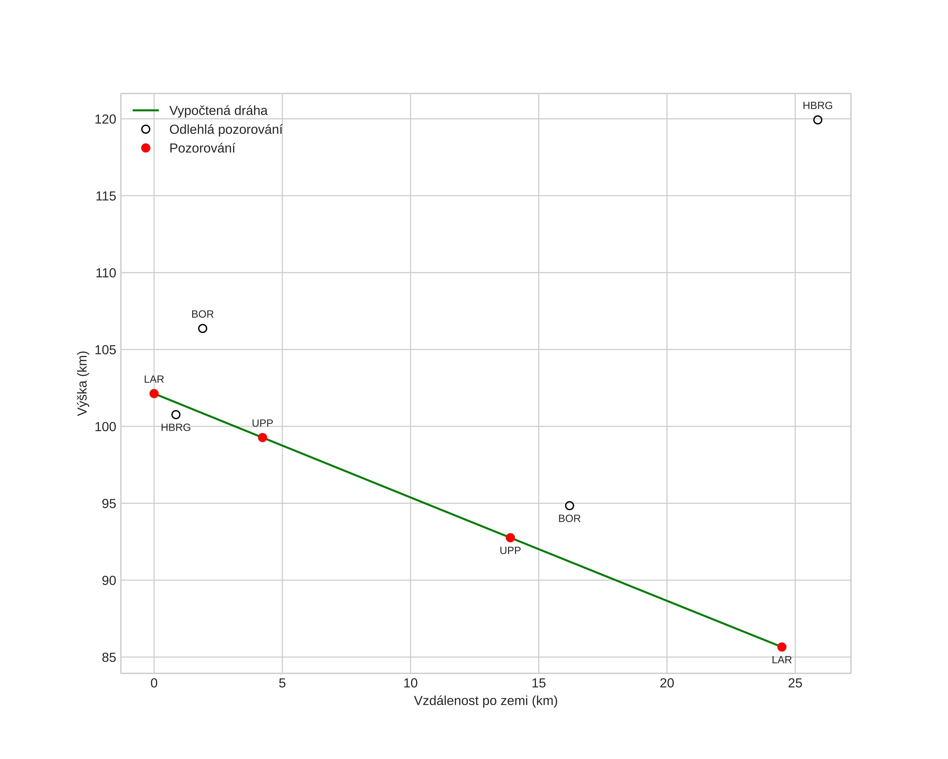
height profile
Atmosférická dráha meteoru:
Počáteční výška: 102,2 km
Konečná výška: 85,2 km
Počáteční poloha: 59,269N 14,555E
Konečná poloha: 59,385N 14,178E
Směr: 301,3°
Sklon: 34,3°
VstupnĂ­ rychlost: 61,7 km/s
Rektascenze radiantu: 05:54 (88,5°)
Deklinace radiantu: 14,9°
MeteorickĂ˝ roj: Orionidy
Elementy dráhy meteoroidu:
Vzdálenost v periheliu: 0,403 AU
Excentricita: 0,811
Sklon dráhy: 159,5°
Délka vzestupného uzlu: 24,5°
Argument perihelia: 109,3°
Střední anomálie: 346,1°
Epocha: 2021 OCT 18 00:02:12
orbit plot

NeinteraktivnĂ­ graf | InteraktivnĂ­ graf

position vs time
speed and acceleration