🇳🇴 🇬🇧 🇩🇪 🇨🇿 🇫🇮

Meteor Kristinehamnin yllä 2021-10-18 00:02:12 UTC

KML-tiedosto  |  Interaktiivinen kartta

Kartta näyttää meteorin suuntahavainnot. Vaaleammat viivat näyttävät suunnat havaintoasemilta meteorin ilmestyessä, ja tummemmat viivat näyttävät, missä se viimeksi nähtiin. Sininen nuoli näyttää meteorin näkyvän lennon.

static map
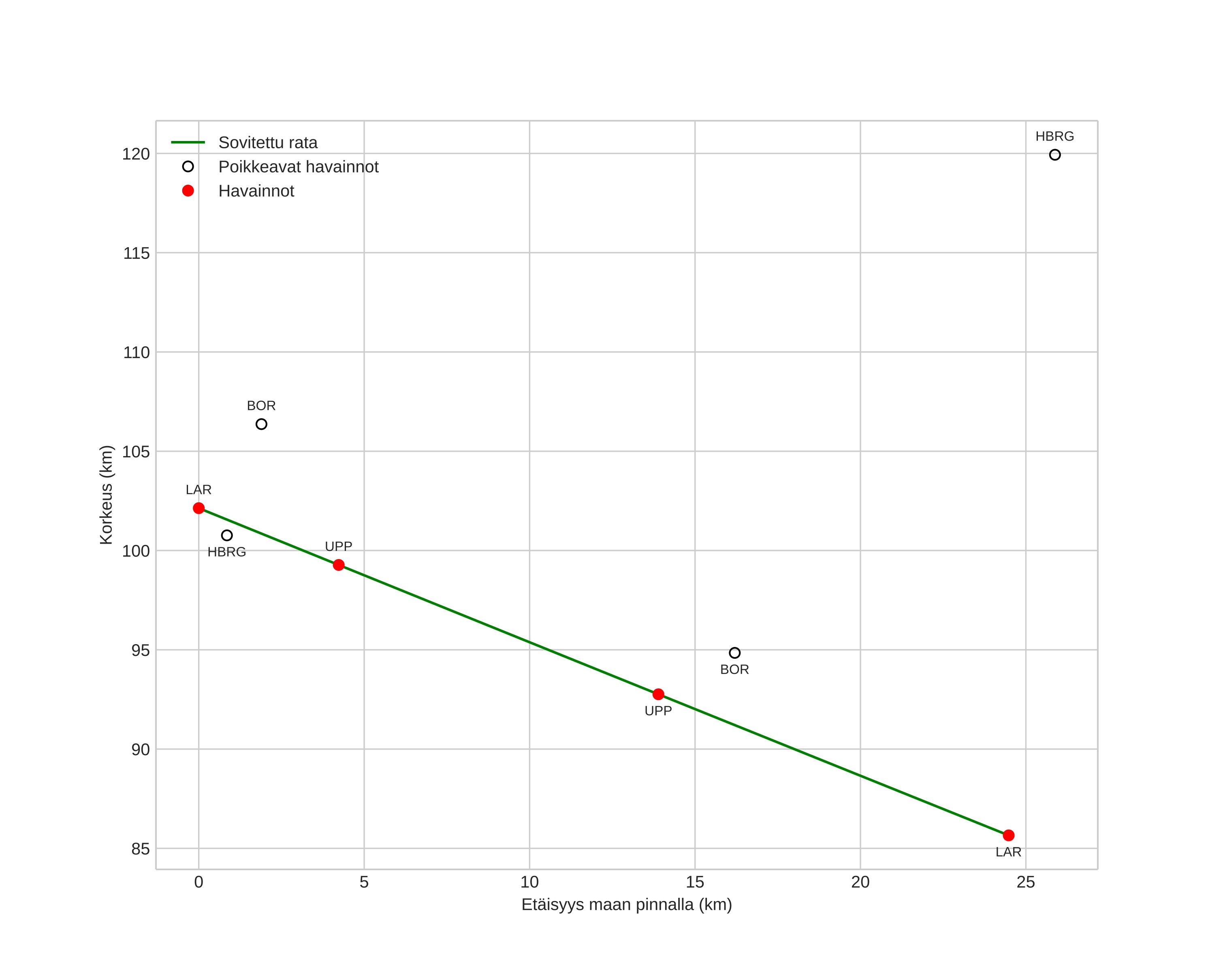
height profile
Meteorin ilmakehärata:
Alkukorkeus: 102,2 km
Loppukorkeus: 85,2 km
Alkupiste: 59,269N 14,555E
Loppupiste: 59,385N 14,178E
Suunta: 301,3°
Kallistuskulma: 34,3°
Tulonopeus: 61,7 km/s
Radiantin R,A,: 05:54 (88,5°)
Radiantin Dekl,: 14,9°
Meteoriparvi: Orionidit
Meteoroidin rataelementit:
Perihelietäisyys: 0,403 AU
Eksentrisyys: 0,811
Inklinaatio: 159,5°
Nousevan solmun pituus: 24,5°
Perihelin argumentti: 109,3°
Keskianomalia: 346,1°
Epookki: 2021 OCT 18 00:02:12
orbit plot

Ei-interaktiivinen kuvaaja | Interaktiivinen kuvaaja

position vs time
speed and acceleration