🇳🇴 🇬🇧 🇩🇪 🇨🇿 🇫🇮

Meteor, poloha: Askvoll 2021-10-18 01:02:21 UTC

Soubor KML  |  InteraktivnĂ­ mapa

Mapa zobrazuje dráhy meteoru. Světlejší čáry ukazují směry od pozorovacích stanic při objevení se meteoru a tmavší čáry, kde byl naposledy viděn. Modrá šipka značí viditelnou dráhu meteoru.

static map
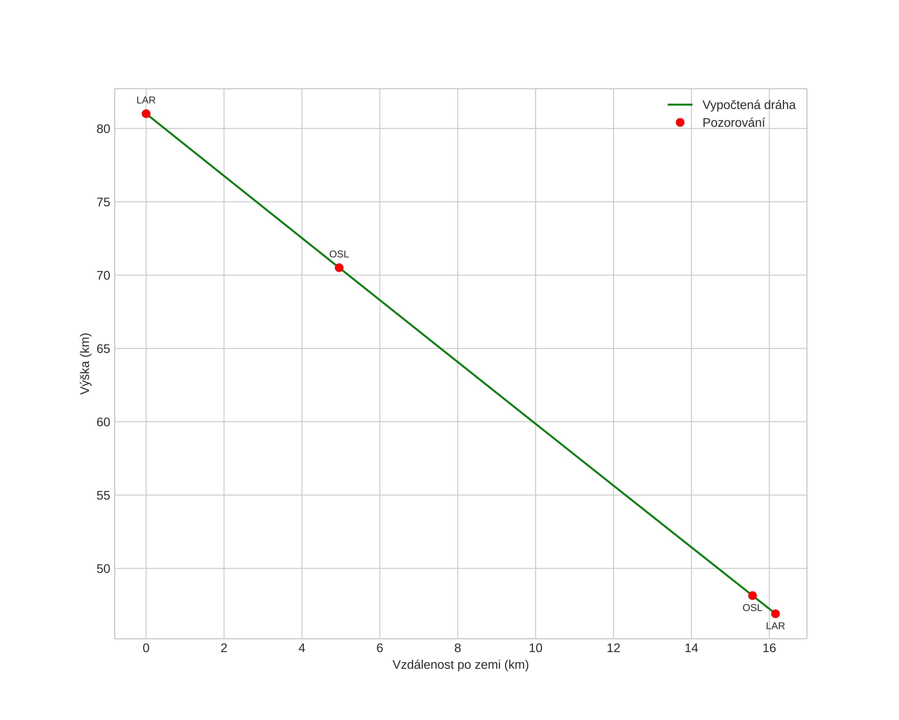
height profile
Atmosférická dráha meteoru:
Počáteční výška: 80,4 km
Konečná výška: 45,6 km
Počáteční poloha: 61,459N 4,941E
Konečná poloha: 61,487N 5,214E
Směr: 77,4°
Sklon: 66,9°
VstupnĂ­ rychlost: 26,8 km/s
Rektascenze radiantu: 00:34 (8,5°)
Deklinace radiantu: 48,8°
MeteorickĂ˝ roj: sporadickĂ˝
Elementy dráhy meteoroidu:
Vzdálenost v periheliu: 0,678 AU
Excentricita: 0,702
Sklon dráhy: 29,9°
Délka vzestupného uzlu: 204,6°
Argument perihelia: 257,0°
Střední anomálie: 347,3°
Epocha: 2021 OCT 18 01:02:21
orbit plot

NeinteraktivnĂ­ graf | InteraktivnĂ­ graf

position vs time
speed and acceleration