🇳🇴 🇬🇧 🇩🇪 🇨🇿 🇫🇮

Meteor Askvollin yllä 2021-10-18 01:02:21 UTC

KML-tiedosto  |  Interaktiivinen kartta

Kartta näyttää meteorin suuntahavainnot. Vaaleammat viivat näyttävät suunnat havaintoasemilta meteorin ilmestyessä, ja tummemmat viivat näyttävät, missä se viimeksi nähtiin. Sininen nuoli näyttää meteorin näkyvän lennon.

static map
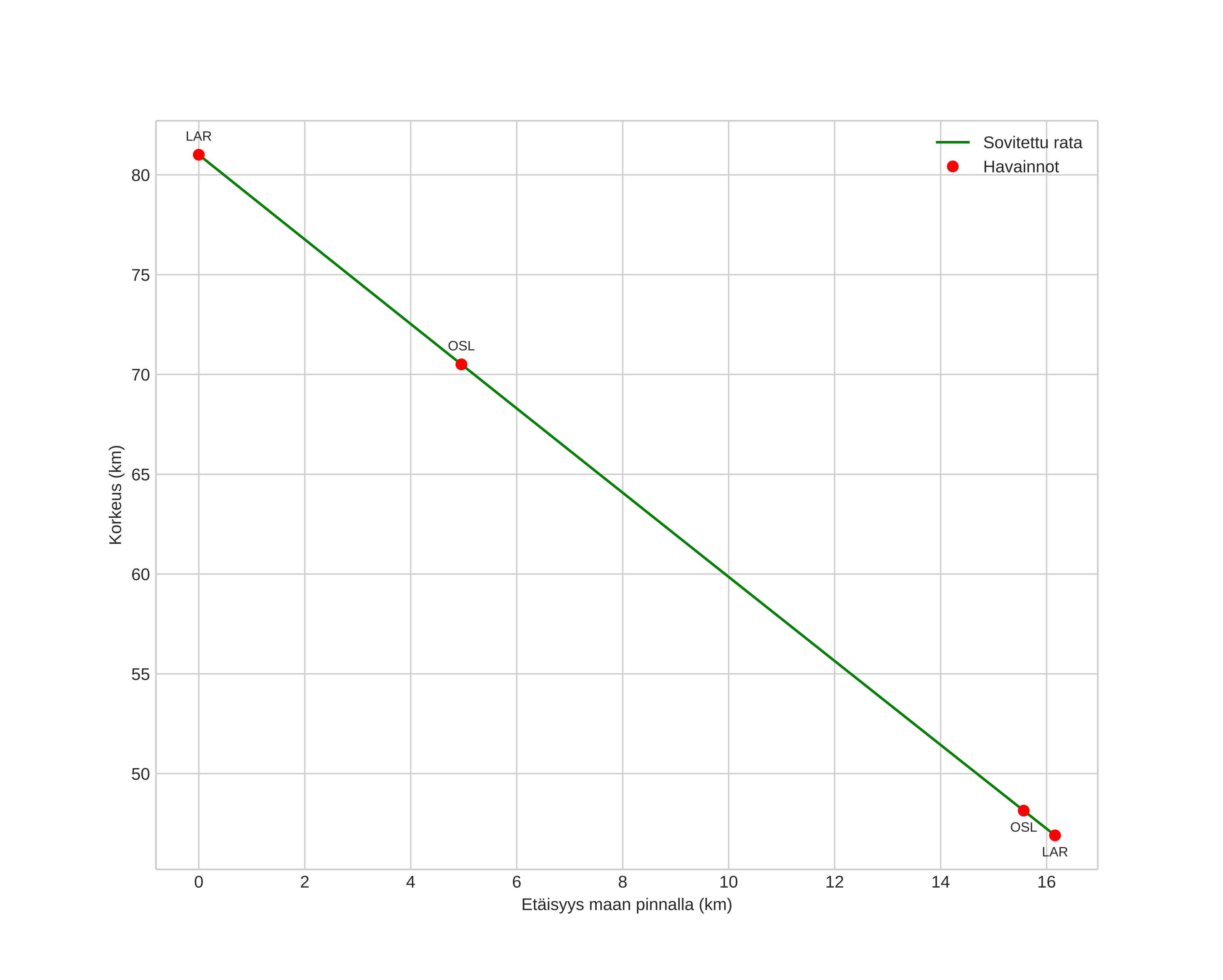
height profile
Meteorin ilmakehärata:
Alkukorkeus: 80,4 km
Loppukorkeus: 45,6 km
Alkupiste: 61,459N 4,941E
Loppupiste: 61,487N 5,214E
Suunta: 77,4°
Kallistuskulma: 66,9°
Tulonopeus: 26,8 km/s
Radiantin R,A,: 00:34 (8,5°)
Radiantin Dekl,: 48,8°
Meteoriparvi: Sporadinen
Meteoroidin rataelementit:
Perihelietäisyys: 0,678 AU
Eksentrisyys: 0,702
Inklinaatio: 29,9°
Nousevan solmun pituus: 204,6°
Perihelin argumentti: 257,0°
Keskianomalia: 347,3°
Epookki: 2021 OCT 18 01:02:21
orbit plot

Ei-interaktiivinen kuvaaja | Interaktiivinen kuvaaja

position vs time
speed and acceleration