🇳🇴 🇬🇧 🇩🇪 🇨🇿 🇫🇮

Meteor, poloha: Narvik 2021-10-19 00:10:14 UTC

Soubor KML  |  InteraktivnĂ­ mapa

Mapa zobrazuje dráhy meteoru. Světlejší čáry ukazují směry od pozorovacích stanic při objevení se meteoru a tmavší čáry, kde byl naposledy viděn. Modrá šipka značí viditelnou dráhu meteoru.

static map
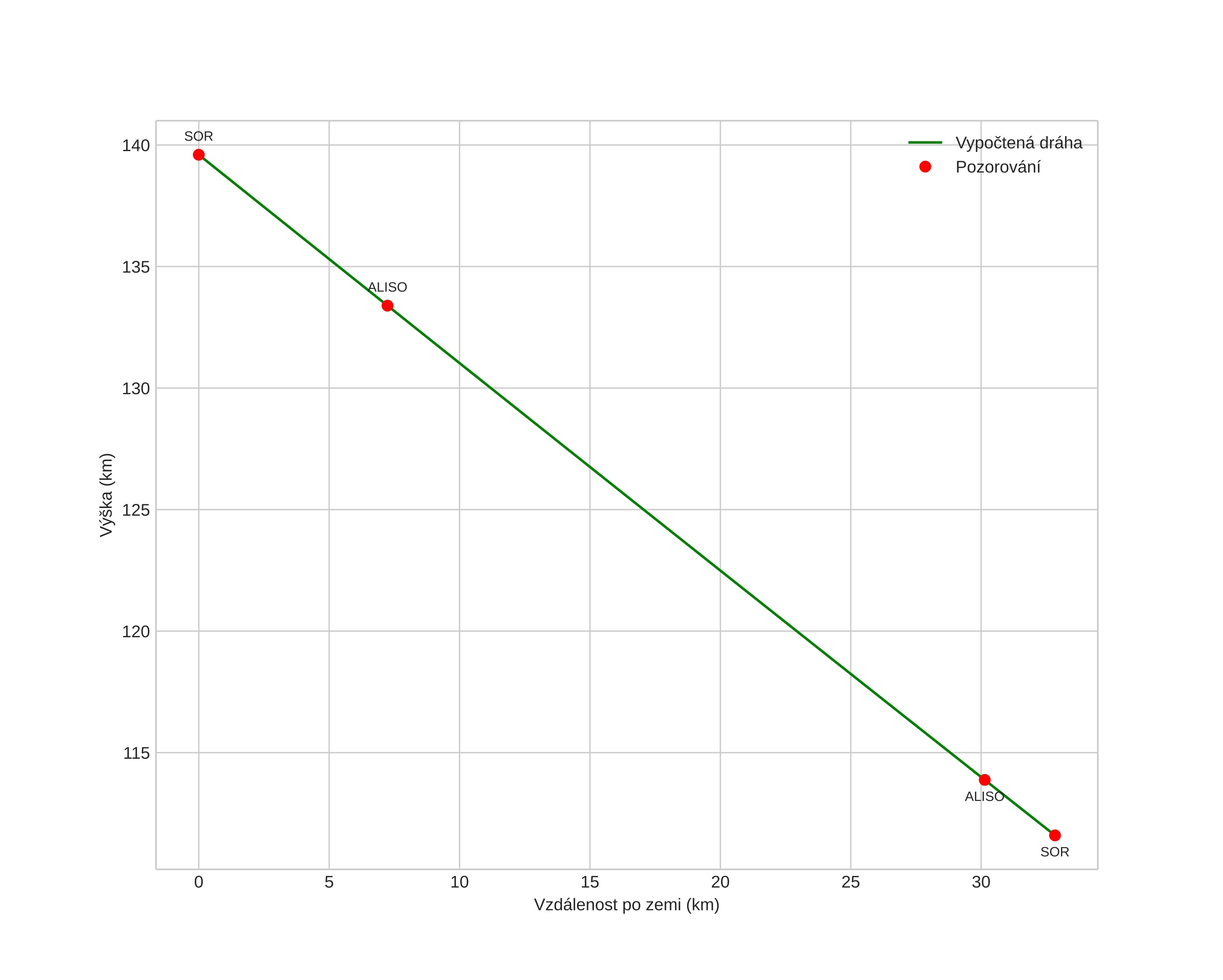
height profile
Atmosférická dráha meteoru:
Počáteční výška: 139,5 km
Konečná výška: 111,6 km
Počáteční poloha: 68,383N 18,271E
Konečná poloha: 68,269N 17,540E
Směr: 247,3°
Sklon: 40,5°
VstupnĂ­ rychlost: 75,1 km/s
Rektascenze radiantu: 09:23 (140,9°)
Deklinace radiantu: 45,3°
MeteorickĂ˝ roj: sporadickĂ˝
Elementy dráhy meteoroidu:
Vzdálenost v periheliu: 0,938 AU
Excentricita: 1,837
Sklon dráhy: 133,7°
Délka vzestupného uzlu: 205,5°
Argument perihelia: 155,4°
Střední anomálie: 11,6°
Epocha: 2021 OCT 19 00:10:14
orbit plot

NeinteraktivnĂ­ graf | InteraktivnĂ­ graf

position vs time
speed and acceleration