🇳🇴 🇬🇧 🇩🇪 🇨🇿 🇫🇮

Meteor Narvikin yllä 2021-10-19 00:10:14 UTC

KML-tiedosto  |  Interaktiivinen kartta

Kartta näyttää meteorin suuntahavainnot. Vaaleammat viivat näyttävät suunnat havaintoasemilta meteorin ilmestyessä, ja tummemmat viivat näyttävät, missä se viimeksi nähtiin. Sininen nuoli näyttää meteorin näkyvän lennon.

static map
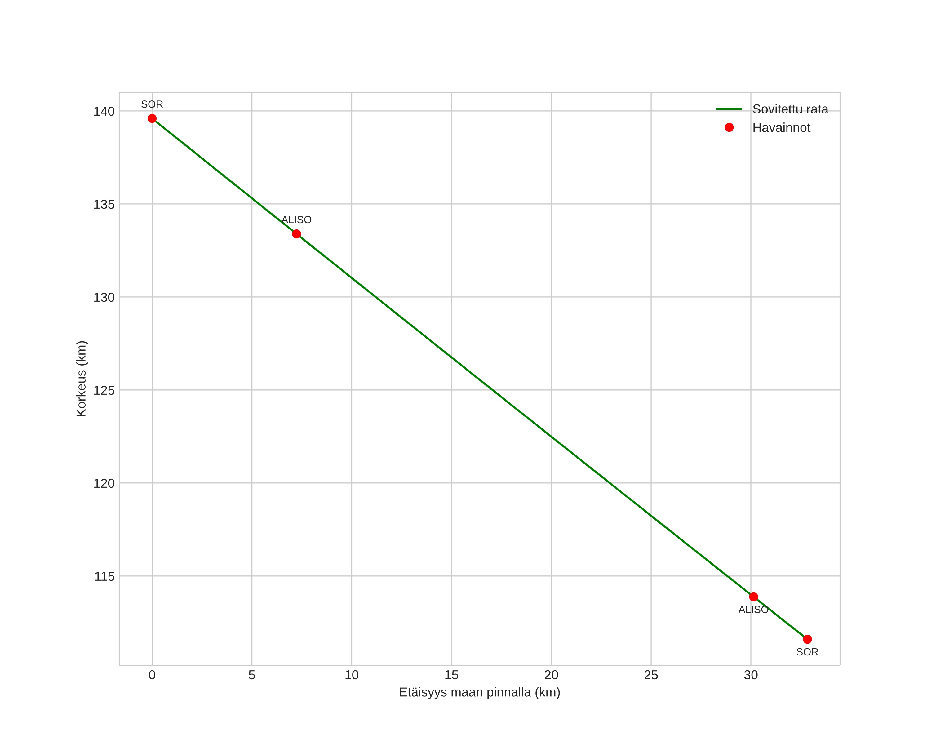
height profile
Meteorin ilmakehärata:
Alkukorkeus: 139,5 km
Loppukorkeus: 111,6 km
Alkupiste: 68,383N 18,271E
Loppupiste: 68,269N 17,540E
Suunta: 247,3°
Kallistuskulma: 40,5°
Tulonopeus: 75,1 km/s
Radiantin R,A,: 09:23 (140,9°)
Radiantin Dekl,: 45,3°
Meteoriparvi: Sporadinen
Meteoroidin rataelementit:
Perihelietäisyys: 0,938 AU
Eksentrisyys: 1,837
Inklinaatio: 133,7°
Nousevan solmun pituus: 205,5°
Perihelin argumentti: 155,4°
Keskianomalia: 11,6°
Epookki: 2021 OCT 19 00:10:14
orbit plot

Ei-interaktiivinen kuvaaja | Interaktiivinen kuvaaja

position vs time
speed and acceleration