🇳🇴 🇬🇧 🇩🇪 🇨🇿 🇫🇮

Meteor über Ekshärad 2021-10-23 01:50:59 UTC

KML-Datei  |  Interaktive Karte

Die Karte zeigt die Peilungen für den Meteor. Die helleren Linien zeigen die Richtungen von den Beobachtungsorten beim Erscheinen des Meteors, und die dunkleren Linien, wo er zuletzt gesehen wurde. Der blaue Pfeil zeigt die sichtbare Bahn des Meteors.

static map
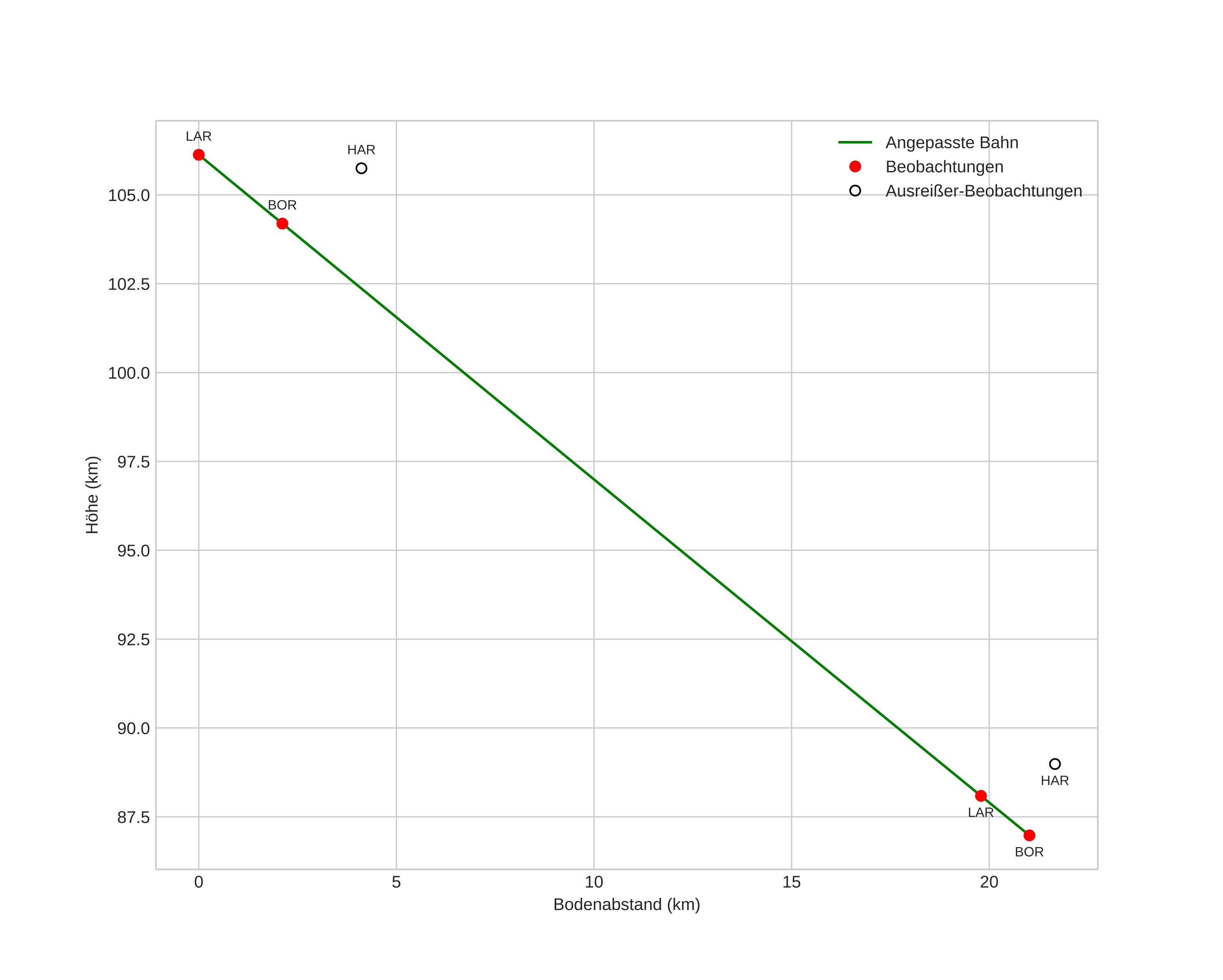
height profile
Atmosphärische Bahn des Meteors:
Anfangshöhe: 106,0 km
Endhöhe: 86,8 km
Startposition: 60,230N 13,791E
Endposition: 60,392N 13,601E
Richtung: 329,8°
Neigungswinkel: 42,7°
Eintrittsgeschwindigkeit: 67,3 km/s
Rektaszension des Radianten: 06:21 (95,3°)
Deklination des Radianten: 15,5°
Meteorstrom: Orioniden
Bahnelemente des Meteoroiden:
Periheldistanz: 0,552 AU
Exzentrizität: 0,971
Inklination: 163,1°
Länge des aufsteigenden Knotens: 29,6°
Argument des Perihels: 84,5°
Mittlere Anomalie: 359,5°
Epoche: 2021 OCT 23 01:50:59
orbit plot

Nicht-interaktives Diagramm | Interaktives Diagramm

position vs time
speed and acceleration