🇳🇴 🇬🇧 🇩🇪 🇨🇿 🇫🇮

Meteor Ekshäradin yllä 2021-10-23 01:50:59 UTC

KML-tiedosto  |  Interaktiivinen kartta

Kartta näyttää meteorin suuntahavainnot. Vaaleammat viivat näyttävät suunnat havaintoasemilta meteorin ilmestyessä, ja tummemmat viivat näyttävät, missä se viimeksi nähtiin. Sininen nuoli näyttää meteorin näkyvän lennon.

static map
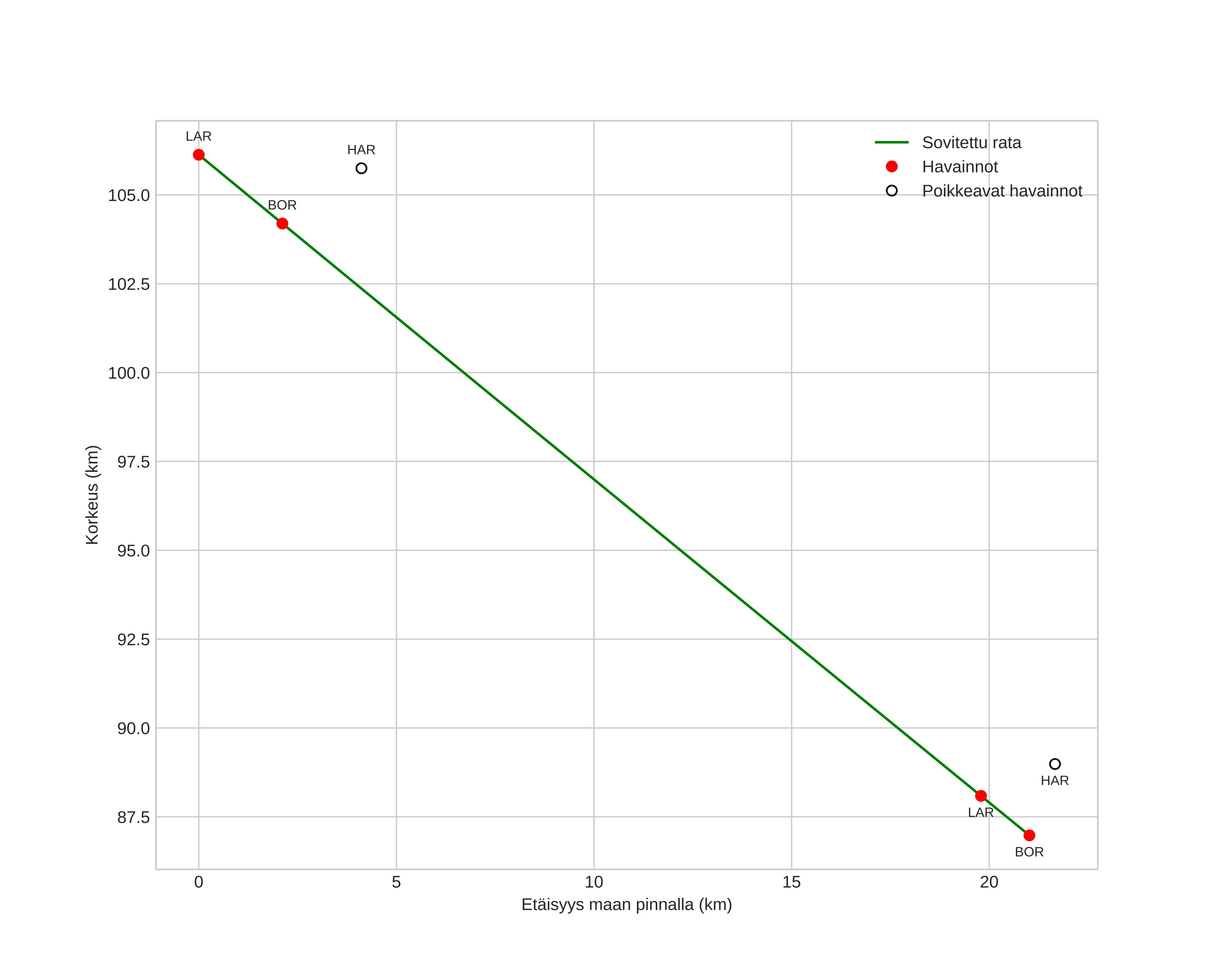
height profile
Meteorin ilmakehärata:
Alkukorkeus: 106,0 km
Loppukorkeus: 86,8 km
Alkupiste: 60,230N 13,791E
Loppupiste: 60,392N 13,601E
Suunta: 329,8°
Kallistuskulma: 42,7°
Tulonopeus: 67,3 km/s
Radiantin R,A,: 06:21 (95,3°)
Radiantin Dekl,: 15,5°
Meteoriparvi: Orionidit
Meteoroidin rataelementit:
Perihelietäisyys: 0,552 AU
Eksentrisyys: 0,971
Inklinaatio: 163,1°
Nousevan solmun pituus: 29,6°
Perihelin argumentti: 84,5°
Keskianomalia: 359,5°
Epookki: 2021 OCT 23 01:50:59
orbit plot

Ei-interaktiivinen kuvaaja | Interaktiivinen kuvaaja

position vs time
speed and acceleration