🇳🇴 🇬🇧 🇩🇪 🇨🇿 🇫🇮

Meteor, poloha: Vansbro 2021-10-23 02:23:32 UTC

Soubor KML  |  InteraktivnĂ­ mapa

Mapa zobrazuje dráhy meteoru. Světlejší čáry ukazují směry od pozorovacích stanic při objevení se meteoru a tmavší čáry, kde byl naposledy viděn. Modrá šipka značí viditelnou dráhu meteoru.

static map
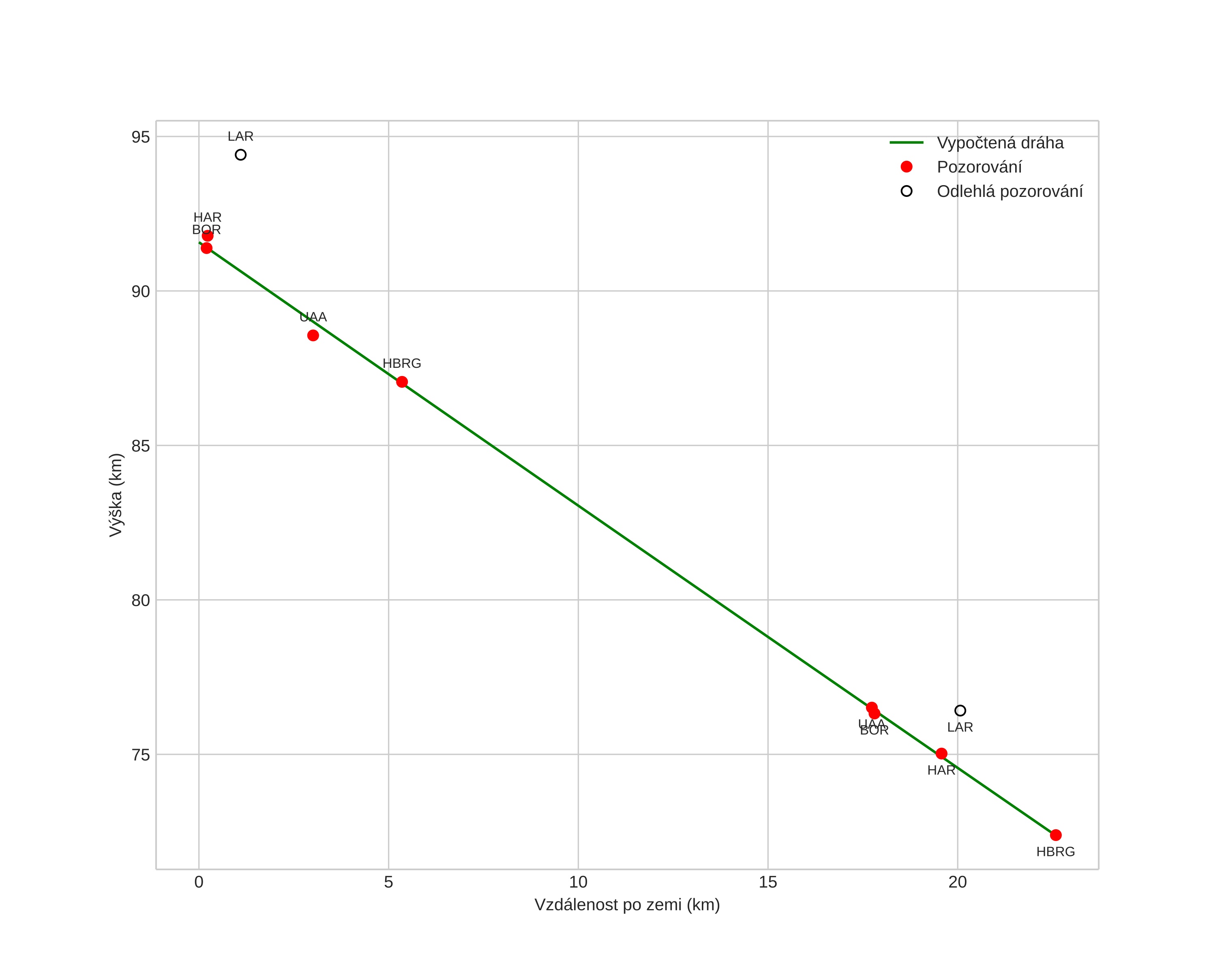
height profile
Atmosférická dráha meteoru:
Počáteční výška: 92,7 km
Konečná výška: 72,9 km
Počáteční poloha: 60,643N 14,025E
Konečná poloha: 60,455N 14,219E
Směr: 153,2°
Sklon: 40,1°
VstupnĂ­ rychlost: 27,0 km/s
Rektascenze radiantu: 20:43 (310,8°)
Deklinace radiantu: 61,1°
MeteorickĂ˝ roj: sporadickĂ˝
Elementy dráhy meteoroidu:
Vzdálenost v periheliu: 0,962 AU
Excentricita: 0,939
Sklon dráhy: 35,0°
Délka vzestupného uzlu: 209,6°
Argument perihelia: 201,2°
Střední anomálie: 359,8°
Epocha: 2021 OCT 23 02:23:32
orbit plot

NeinteraktivnĂ­ graf | InteraktivnĂ­ graf

position vs time
speed and acceleration